相关习题
 0  83014  83022  83028  83032  83038  83040  83044  83050  83052  83058  83064  83068  83070  83074  83080  83082  83088  83092  83094  83098  83100  83104  83106  83108  83109  83110  83112  83113  83114  83116  83118  83122  83124  83128  83130  83134  83140  83142  83148  83152  83154  83158  83164  83170  83172  83178  83182  83184  83190  83194  83200  83208  266669 

科目: 来源:2012-2013学年湖北省武汉市部分重点中学高二(上)期末数学试卷(文科)(解析版) 题型:填空题

某机构调查小学生课业负担的情况,设平均每人每天做作业时间为x(单位:分钟),按时间分下列四种情况统计:①0~30分钟;②30~60分钟;③60~90分钟;④90分钟及90分钟以上,有1 000名小学生参加了此项调查,下图是此次调查的流程图,已知输出的结果是600,则平均每天做作业时间在0~60分钟内的学生的频率是   

查看答案和解析>>

科目: 来源:2012-2013学年湖北省武汉市部分重点中学高二(上)期末数学试卷(文科)(解析版) 题型:填空题

已知复数z1=-1+2i,z2=1-i,z3=3-4i,它们在复平面上所对应的点分别为A,B,C,若,则λ+μ的值是   

查看答案和解析>>

科目: 来源:2012-2013学年湖北省武汉市部分重点中学高二(上)期末数学试卷(文科)(解析版) 题型:填空题

观察下列各式:a+b=1,a2+b2=3,a3+b3=4,a4+b4=7,a5+b5=11,…,则a10+b10=   

查看答案和解析>>

科目: 来源:2012-2013学年湖北省武汉市部分重点中学高二(上)期末数学试卷(文科)(解析版) 题型:填空题

某人5次上班途中所花的时间(单位:分钟)分别为x,y,10,11,9.已知这组数据的平均数为10,方差为2,则|x-y|的值为   

查看答案和解析>>

科目: 来源:2012-2013学年湖北省武汉市部分重点中学高二(上)期末数学试卷(文科)(解析版) 题型:填空题

在棱长为2的正方体内随机取一点,取到的点到正方体中心的距离大于1的概率   

查看答案和解析>>

科目: 来源:2012-2013学年湖北省武汉市部分重点中学高二(上)期末数学试卷(文科)(解析版) 题型:填空题

已知直线x+y+m=0与圆x2+y2=2交于不同的两点A、B,O是坐标原点,,那么实数m的取值范围是   

查看答案和解析>>

科目: 来源:2012-2013学年湖北省武汉市部分重点中学高二(上)期末数学试卷(文科)(解析版) 题型:填空题

如图,已知六棱锥P-ABCDEF的底面是正六边形,PA⊥平面ABC,PA=2AB,给出下列结论:①PB⊥AE;②平面ABC⊥平面PBC;③直线BC∥平面PAE;④∠PDA=45°;⑤直线PD与平面PAB所成角的余弦值为.其中正确的有    (把所有正确的序号都填上).

查看答案和解析>>

科目: 来源:2012-2013学年湖北省武汉市部分重点中学高二(上)期末数学试卷(文科)(解析版) 题型:解答题

某中学为研究学生的身体素质与课外体育锻炼时间的关系,对400名高一学生的一周课外体育锻炼时间进行调查,结果如下表所示
锻炼时间(分钟)[0,20)[20,40)[40,60)[60,80)[80,100)[100,120)
人数4060801008040
(I)完成频率分布直方图,并估计该中学高一学生每周参加课外体育锻炼时间的众数;
(II)现采用分层抽样的方法抽取容量为20的样本,
2中课外体育锻炼时间在[80,120]分钟内的学生应抽取多少人?
②若从①中被抽取的学生中随机抽取2名,求这2名学生课外体育锻炼时间均在[80,100)分钟内的概率.

查看答案和解析>>

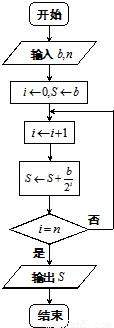
科目: 来源:2012-2013学年湖北省武汉市部分重点中学高二(上)期末数学试卷(文科)(解析版) 题型:解答题

一企业生产的某产品在不做电视广告的前提下,每天销售量为b件.经市场调查后得到如下规律:若对产品进行电视广告的宣传,每天的销售量S(件)与电视广告每天的播放量n(次)的关系可用如图所示的程序框图来体现.
(1)试写出该产品每天的销售量S(件)关于电视广告每天的播放量n(次)的函数关系式;
(2)要使该产品每天的销售量比不做电视广告时的销售量至少增加90%,则每天电视广告的播放量至少需多少次?

查看答案和解析>>

科目: 来源:2012-2013学年湖北省武汉市部分重点中学高二(上)期末数学试卷(文科)(解析版) 题型:解答题

已知关于x的一元二次函数f(x)=ax2-bx+1,分别从集合P和Q中随机取一个数a和b得到数列(a,b).
(1)若P={x|1≤x≤3,x∈Z},Q={x|-1≤x≤4,x∈Z},列举出所有的数对(a,b),并求函数y=f(x)有零点的概率;
(2)若P={x|1≤x≤3,x∈R},Q={x|-1≤x≤4,x∈R},求函数y=f(x)在区间[1,+∞)上是增函数的概率.

查看答案和解析>>

同步练习册答案