相关习题
 0  83053  83061  83067  83071  83077  83079  83083  83089  83091  83097  83103  83107  83109  83113  83119  83121  83127  83131  83133  83137  83139  83143  83145  83147  83148  83149  83151  83152  83153  83155  83157  83161  83163  83167  83169  83173  83179  83181  83187  83191  83193  83197  83203  83209  83211  83217  83221  83223  83229  83233  83239  83247  266669 

科目: 来源:2012-2013学年黑龙江省大庆市铁人中学高一(上)10月月考数学试卷(解析版) 题型:选择题

如图是张大爷晨练时所走的离家距离(y)与行走时间(x)之间的函数关系图,若用黑点表示张大爷家的位置,则张大爷散步行走的路线可能是( )

A.
B.
C.
D.

查看答案和解析>>

科目: 来源:2012-2013学年黑龙江省大庆市铁人中学高一(上)10月月考数学试卷(解析版) 题型:选择题

已知偶函数f(x)在区间[0,+∞)上单调增加,则满足f(2x-1)<f()的x取值范围是( )
A.[
B.(
C.(
D.[

查看答案和解析>>

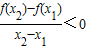
科目: 来源:2012-2013学年黑龙江省大庆市铁人中学高一(上)10月月考数学试卷(解析版) 题型:选择题

定义在R上的偶函数f(x)满足:对任意的x1,x2∈[0,+∞)(x1≠x2),有,则( )
A.f(-2)<f(1)<f(3)
B.f(1)<f(-2)<f(3)
C.f(3)<f(-2)<f(1)
D.f(3)<f(1)<f(-2)

查看答案和解析>>

科目: 来源:2012-2013学年黑龙江省大庆市铁人中学高一(上)10月月考数学试卷(解析版) 题型:填空题

国家规定个人稿费纳税办法是:不超过800元的不纳税;超过800 元而不超过4000元的按超过800元部分的14%纳税;超过4000元的按全部稿酬的11%纳税.已知某人出版一本书,共纳税420元时,这个人应得稿费(扣税前)为    元.

查看答案和解析>>

科目: 来源:2012-2013学年黑龙江省大庆市铁人中学高一(上)10月月考数学试卷(解析版) 题型:填空题

设f(x)是R上的奇函数,且当x∈(0,+∞)时,f(x)=x(1+x),则 f(x)在 (-∞,0)上的解析式   

查看答案和解析>>

科目: 来源:2012-2013学年黑龙江省大庆市铁人中学高一(上)10月月考数学试卷(解析版) 题型:填空题

若函数f(x)=kx2+(k-1)x+2是偶函数,则f(x)的递减区间是   

查看答案和解析>>

科目: 来源:2012-2013学年黑龙江省大庆市铁人中学高一(上)10月月考数学试卷(解析版) 题型:填空题

函数的增区间   

查看答案和解析>>

科目: 来源:2012-2013学年黑龙江省大庆市铁人中学高一(上)10月月考数学试卷(解析版) 题型:解答题

设全集U=R,集合A={x∈R|-1<x≤5,或x=6},B={x∈R|2≤x<5};求∁UA、∁UB及A∩(∁UB).

查看答案和解析>>

科目: 来源:2012-2013学年黑龙江省大庆市铁人中学高一(上)10月月考数学试卷(解析版) 题型:解答题

判断并利用定义证明f(x)=在(-∞,0)上的增减性.

查看答案和解析>>

科目: 来源:2012-2013学年黑龙江省大庆市铁人中学高一(上)10月月考数学试卷(解析版) 题型:解答题

已知函数f(x)=x2-2ax+3
(1)若函数f(x)的单调递减区间(-∞,2],求函数f(x)在区间[3,5]上的最大值.
(2)若函数f(x)在区间(-∞,2]上是单调递减,求函数f(1)的最大值.

查看答案和解析>>

同步练习册答案