相关习题
0 83140 83148 83154 83158 83164 83166 83170 83176 83178 83184 83190 83194 83196 83200 83206 83208 83214 83218 83220 83224 83226 83230 83232 83234 83235 83236 83238 83239 83240 83242 83244 83248 83250 83254 83256 83260 83266 83268 83274 83278 83280 83284 83290 83296 83298 83304 83308 83310 83316 83320 83326 83334 266669
科目:
来源:2011-2012学年黑龙江省鹤岗一中高二(上)期末数学试卷(文科)(解析版)
题型:解答题
已知抛物线顶点在原点,焦点在X轴上,又知此抛物线上一点A(m,-3)到焦点F的距离为5,求正数m的值,并写出此抛物线的方程.
查看答案和解析>>
科目:
来源:2011-2012学年黑龙江省鹤岗一中高二(上)期末数学试卷(文科)(解析版)
题型:解答题
已知多项式f(x)=5x5+4x4+3x3+2x2+x用秦九韶算法计算该多项式在x=3时的值(要求有计算过程)
查看答案和解析>>
科目:
来源:2011-2012学年黑龙江省鹤岗一中高二(上)期末数学试卷(文科)(解析版)
题型:解答题
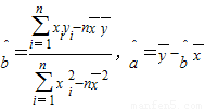
下表提供了某厂节能降耗技术改造后生产甲产品过程中记录的产量X(吨),与相应的生产能耗Y(吨标准煤)的几组对照数据.
(1)请画出上表数据的数点图
(2)请根据上表提供的数据,求线性回归的方程Y=

x+

(3)已知该厂技改前100吨甲产品的生产能耗为90吨标准煤,试根据(2)求出的线性回归方程,预测生产100吨甲产品的生产能耗比技改前降低多少吨标准煤?
(

)
查看答案和解析>>
科目:
来源:2011-2012学年黑龙江省鹤岗一中高二(上)期末数学试卷(文科)(解析版)
题型:解答题
某学校为了了解学生的日平均睡眠时间(单位:h)随机选择了n名学生进行调查,下表是这n名学生的日睡眠时间的频率分布表:
| 序号i | 分组(睡眠时间) | 频数(人数) | 频率 |
| 1 | [4,5) | 6 | 0.12 |
| 2 | [5,6) | | 0.20 |
| 3 | [6,7) | a | |
| 4 | [7,8) | b | |
| 5 | [8,9) | | 0.08 |
(1)求n值,若a=20将表中数据补全,并画出频率分布直方图
(2)统计方法中,同一组数据常用该组区间的中点值作为代表,若据此计算的上述数据的平均值为6.52,求a,b的值,并由此估计该学校学生的日平均睡眠时间在7小时以上的频率.
查看答案和解析>>
科目:
来源:2011-2012学年黑龙江省鹤岗一中高二(上)期末数学试卷(文科)(解析版)
题型:解答题
已知椭圆

(a>b>0)的离心率e=

,连接椭圆的四个顶点得到的菱形的面积为4.
(Ⅰ)求椭圆的方程;
(Ⅱ)设直线l与椭圆相交于不同的两点A、B,已知点A的坐标为(-a,0).
(i)若

,求直线l的倾斜角;
(ii)若点Q(0,y
)在线段AB的垂直平分线上,且

.求y
的值.
查看答案和解析>>
科目:
来源:2009-2010学年黑龙江省鹤岗一中高二(上)期末数学试卷(文科)(解析版)
题型:选择题
为了了解全校240名高一学生的身高情况,从中抽取40名学生进行测量,下列说法正确的是( )
A.总体是240
B.个体是每一个学生
C.样本是40名学生
D.样本容量是40
查看答案和解析>>
科目:
来源:2009-2010学年黑龙江省鹤岗一中高二(上)期末数学试卷(文科)(解析版)
题型:选择题
命题“12既是4的倍数,又是3的倍数”的形式是( )
A.p∨q
B.p∧q
C.¬p
D.简单命题
查看答案和解析>>
科目:
来源:2009-2010学年黑龙江省鹤岗一中高二(上)期末数学试卷(文科)(解析版)
题型:选择题
如图所示的程序框图输出的结果是( )

A.

B.

C.

D.

查看答案和解析>>
科目:
来源:2009-2010学年黑龙江省鹤岗一中高二(上)期末数学试卷(文科)(解析版)
题型:选择题
关于频率分布直方图中的有关数据,下列说法正确的是( )
A.直方图的高表示该组上的个体在样本中出现的频率与组距的比值
B.直方图的高表示该组上的个体在样本中出现的频率
C.直方图的高表示取某数的频率
D.直方图的高表示该组上的个体数与组距的比值
查看答案和解析>>
科目:
来源:2009-2010学年黑龙江省鹤岗一中高二(上)期末数学试卷(文科)(解析版)
题型:选择题
高二年级有14个班,每个班的同学从1到50排学号,为了交流学习经验,要求每班学号为14的同学留下来进行交流,这里运用的是( )
A.分层抽样
B.抽签抽样
C.随机抽样
D.系统抽样
查看答案和解析>>