相关习题
 0  83176  83184  83190  83194  83200  83202  83206  83212  83214  83220  83226  83230  83232  83236  83242  83244  83250  83254  83256  83260  83262  83266  83268  83270  83271  83272  83274  83275  83276  83278  83280  83284  83286  83290  83292  83296  83302  83304  83310  83314  83316  83320  83326  83332  83334  83340  83344  83346  83352  83356  83362  83370  266669 

科目: 来源:2009-2010学年黑龙江省鹤岗一中高一(上)期中数学试卷(文科)(解析版) 题型:填空题

已知二次函数y=ax2+bx+c(a≠0)的图象如图所示,有下列四个结论:
①b<0;
②b2-4ac>0;
③4a-2b+c>0;
④a-b+c<0.
其中正确结论的序号有    .(写出所有正确结论的序号)

查看答案和解析>>

科目: 来源:2009-2010学年黑龙江省鹤岗一中高一(上)期中数学试卷(文科)(解析版) 题型:解答题

若函数f(x)的定义域为[1,4],求函数f(x2)的定义域.

查看答案和解析>>

科目: 来源:2009-2010学年黑龙江省鹤岗一中高一(上)期中数学试卷(文科)(解析版) 题型:解答题

已知集合A={x|1≤x<4},B={x|x-a<0},
(1)当a=3时,求A∩B;
(2)若A⊆B,求实数a的取值范围.

查看答案和解析>>

科目: 来源:2009-2010学年黑龙江省鹤岗一中高一(上)期中数学试卷(文科)(解析版) 题型:解答题

已知函数f(x)=x2+2ax+2,x∈[-5,5],
(1)当a=-1时,求函数的最大值和最小值;
(2)若y=f(x)在区间[-5,5]上是单调增函数,求实数a的取值范围.

查看答案和解析>>

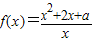
科目: 来源:2009-2010学年黑龙江省鹤岗一中高一(上)期中数学试卷(文科)(解析版) 题型:解答题

已知函数
(1)求f(x)的定义域和值域;
(2)求f(x)的单调区间.

查看答案和解析>>

科目: 来源:2009-2010学年黑龙江省鹤岗一中高一(上)期中数学试卷(文科)(解析版) 题型:解答题

设函数y=f(x)是定义在R+上的减函数,并且满足f(xy)=f(x)+f(y),
(1)求f(1)的值;
(2)如果f(x)+f(2-x)<2,求x的取值范围.

查看答案和解析>>

科目: 来源:2009-2010学年黑龙江省鹤岗一中高一(上)期中数学试卷(文科)(解析版) 题型:解答题

已知函数,x∈[1,+∞),
(1)若,求f(x)的最小值;
(2)若对任意x∈[1,+∞),f(x)>0恒成立,试求实数a的取值范围.

查看答案和解析>>

科目: 来源:2011-2012学年广东省东莞市麻涌中学高二(下)第二次月考数学试卷(理科)(解析版) 题型:选择题

已知复数z=2+i,则z2对应的点在第( )象限.
A.Ⅰ
B.Ⅱ
C.Ⅲ
D.Ⅳ

查看答案和解析>>

科目: 来源:2011-2012学年广东省东莞市麻涌中学高二(下)第二次月考数学试卷(理科)(解析版) 题型:选择题

一质点沿直线运动,如果由始点起经过t秒后的位移为s=t3-t2+2t,那么速度为零的时刻是( )
A.0秒
B.1秒末
C.2秒末
D.1秒末和2秒末

查看答案和解析>>

科目: 来源:2011-2012学年广东省东莞市麻涌中学高二(下)第二次月考数学试卷(理科)(解析版) 题型:选择题

若曲线f(x)=x4-x在点P处的切线平行于直线3x-y=0,则点P的坐标为( )
A.(-1,2)
B.(1,-3)
C.(1,0)
D.(1,5)

查看答案和解析>>

同步练习册答案