相关习题
 0  83234  83242  83248  83252  83258  83260  83264  83270  83272  83278  83284  83288  83290  83294  83300  83302  83308  83312  83314  83318  83320  83324  83326  83328  83329  83330  83332  83333  83334  83336  83338  83342  83344  83348  83350  83354  83360  83362  83368  83372  83374  83378  83384  83390  83392  83398  83402  83404  83410  83414  83420  83428  266669 

科目: 来源:2011-2012学年黑龙江省鹤岗一中高二(下)期末数学试卷(理科)(解析版) 题型:解答题

(选修4-5:不等式选讲)
已知函数f(x)=|x+1|+|x-2|.若不等式|a+b|+|a-b|≥|a|f(x)(a≠0,a、b∈R)恒成立,求实数x的范围.

查看答案和解析>>

科目: 来源:2011-2012学年黑龙江省鹤岗一中高二(下)期末数学试卷(理科)(解析版) 题型:解答题

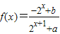
已知定义域为R的函数是奇函数.
(Ⅰ)求a,b的值;
(Ⅱ)若对任意的t∈R,不等式f(t2-2t)+f(2t2-k)<0恒成立,求k的取值范围.

查看答案和解析>>

科目: 来源:2011-2012学年黑龙江省鹤岗一中高二(下)期末数学试卷(理科)(解析版) 题型:解答题

已知二次函数f(x)=ax2+bx,(a,b为常数,且a≠0)满足条件f(-x+5)=f(x-3),且方程f(x)=x有两个相等的实根.
(1)求f(x)的解析式;
(2)是否存在实数m,n(m<n),使f(x)的定义域和值域分别为[m,n]与[3m,3n],若存在,求出m,n的值,若不存在,请说明理由.

查看答案和解析>>

科目: 来源:2011-2012学年黑龙江省鹤岗一中高二(下)期末数学试卷(理科)(解析版) 题型:解答题

已知函数f(x)=ax3+bx2-3x在x=±1处取得极值.
(Ⅰ)讨论f(1)和f(-1)是函数f(x)的极大值还是极小值;
(Ⅱ)过点A(0,16)作曲线y=f(x)的切线,求此切线方程.

查看答案和解析>>

科目: 来源:2009-2010学年黑龙江省鹤岗一中高二(下)期末数学试卷(文科)(解析版) 题型:选择题

设全集是U={1,2,3,4,5,6},M={y|y=2x-1,x=1,2,3},N={4,5,6},则N∪CUM=( )
A.{2}
B.{2,4,5,6}
C.{1,2,3,4,6}
D.{4,6}

查看答案和解析>>

科目: 来源:2009-2010学年黑龙江省鹤岗一中高二(下)期末数学试卷(文科)(解析版) 题型:选择题

若复数(i是虚数单位),则=( )
A.2
B.
C.
D.0

查看答案和解析>>

科目: 来源:2009-2010学年黑龙江省鹤岗一中高二(下)期末数学试卷(文科)(解析版) 题型:选择题

的( )
A.充要条件
B.充分不必要条件
C.必要不充分条件
D.既不充分也不必要条件

查看答案和解析>>

科目: 来源:2009-2010学年黑龙江省鹤岗一中高二(下)期末数学试卷(文科)(解析版) 题型:选择题

函数f(x)=2-x+x2-3的零点个数为( )
A.2
B.3
C.1
D.4

查看答案和解析>>

科目: 来源:2009-2010学年黑龙江省鹤岗一中高二(下)期末数学试卷(文科)(解析版) 题型:选择题

已知一小石子等可能地落入如图所示的四边形ABCD内,如果通过大量的试验发现石子落入△CBD内的频率在附近,那么点A和点C到直线BD的距离之比为( )

A.
B.
C.
D.

查看答案和解析>>

科目: 来源:2009-2010学年黑龙江省鹤岗一中高二(下)期末数学试卷(文科)(解析版) 题型:选择题

A,B两名同学在5次数学考试中的成绩统计如下面的茎叶图所示,若A,B两人的平均成绩分别是xA,xB,观察茎叶图,下列结论正确的是( )

A.xA<xB,B比A成绩稳定
B.xA>xB,B比A成绩稳定
C.xA<xB,A比B成绩稳定
D.xA>xB,A比B成绩稳定

查看答案和解析>>

同步练习册答案