相关习题
 0  83327  83335  83341  83345  83351  83353  83357  83363  83365  83371  83377  83381  83383  83387  83393  83395  83401  83405  83407  83411  83413  83417  83419  83421  83422  83423  83425  83426  83427  83429  83431  83435  83437  83441  83443  83447  83453  83455  83461  83465  83467  83471  83477  83483  83485  83491  83495  83497  83503  83507  83513  83521  266669 

科目: 来源:2012-2013学年浙江省台州市天台县平桥中学高二(上)12月诊断数学试卷(文科)(解析版) 题型:解答题

已知圆C经过点A(2,0),B(4,0),C(0,2),
(1)求圆C的方程;
(2)若直线l:y=x+b与圆C有交点,求b的取值范围.

查看答案和解析>>

科目: 来源:2012-2013学年浙江省台州市天台县平桥中学高二(上)12月诊断数学试卷(文科)(解析版) 题型:解答题

如图,几何体A1C1-ABC中,四边形AA1C1C为平行四边形,且面AA1C1C⊥面ABCAA1=A1C=AC=2,AB=BC,AB⊥BC,O是AC中点.
(Ⅰ)证明:A1O⊥平面ABC;
(Ⅱ)求直线BC1与底面ABC所成角的正弦值.

查看答案和解析>>

科目: 来源:2012-2013学年浙江省台州市天台县平桥中学高二(上)12月诊断数学试卷(文科)(解析版) 题型:解答题

已知抛物线E的顶点在原点,焦点在x轴上,开口向左,且抛物线上一点M到其焦点的最小距离为,抛物E与直ly=k(x+1)(k∈R)相交于A、B两点.
(1)求抛物线E的方程;
(2)当△OAB的面积等时,求k的值.

查看答案和解析>>

科目: 来源:2012-2013学年湖南省张家界一中高三(上)第三次月考数学试卷(理科)(解析版) 题型:选择题

已知全集U=R,A={A|x|x2-2x<0},B={x|2x-2≥0}则A∩(CuB)=( )
A.{x|0<x<2}
B.{x|0<x<1}
C.{x|0≤x≤2}
D.{x|0<x≤2}

查看答案和解析>>

科目: 来源:2012-2013学年湖南省张家界一中高三(上)第三次月考数学试卷(理科)(解析版) 题型:选择题

函数y=sin(2x+)图象的对称轴方程可能是( )
A.x=-
B.x=-
C.x=
D.x=

查看答案和解析>>

科目: 来源:2012-2013学年湖南省张家界一中高三(上)第三次月考数学试卷(理科)(解析版) 题型:选择题

已知:,则的夹角为( )
A.30°
B.45°
C.60°
D.90°

查看答案和解析>>

科目: 来源:2012-2013学年湖南省张家界一中高三(上)第三次月考数学试卷(理科)(解析版) 题型:选择题

在如图所示的程序框图中,当n∈N*(n>1)时,函数fn(x)表示函数fn-1(x)的导函数,若输入函数f1(x)=sinx+cosx,则输出的函数fn(x)可化为( )

A.sin(x-
B.-sin(x-
C.sin(x+
D.-sin(x+

查看答案和解析>>

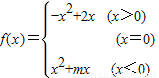
科目: 来源:2012-2013学年湖南省张家界一中高三(上)第三次月考数学试卷(理科)(解析版) 题型:选择题

已知奇函数,则m=( )
A.-2
B.2
C.-1
D.1

查看答案和解析>>

科目: 来源:2012-2013学年湖南省张家界一中高三(上)第三次月考数学试卷(理科)(解析版) 题型:选择题

p:“|a|<1,|b|<1”是q:“|1-ab|>|a-b|”的( )条件.
A.充分而不必要
B.必要而不充分
C.充要
D.既不充分也不必要

查看答案和解析>>

科目: 来源:2012-2013学年湖南省张家界一中高三(上)第三次月考数学试卷(理科)(解析版) 题型:选择题

线段PQ过△ABO的重心G分别交OA,OB于P、Q两点,且.则=( )
A.
B.3
C.
D.

查看答案和解析>>

同步练习册答案