相关习题
 0  83383  83391  83397  83401  83407  83409  83413  83419  83421  83427  83433  83437  83439  83443  83449  83451  83457  83461  83463  83467  83469  83473  83475  83477  83478  83479  83481  83482  83483  83485  83487  83491  83493  83497  83499  83503  83509  83511  83517  83521  83523  83527  83533  83539  83541  83547  83551  83553  83559  83563  83569  83577  266669 

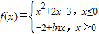
科目: 来源:2012-2013学年山东省潍坊市寿光市高三(上)10月段考数学试卷(理科)(解析版) 题型:选择题

,则f(x)的定义域为( )
A.
B.
C.
D.

查看答案和解析>>

科目: 来源:2012-2013学年山东省潍坊市寿光市高三(上)10月段考数学试卷(理科)(解析版) 题型:选择题

已知cosα=-,且α∈(,π),则tan(α+)等于( )
A.-
B.-7
C.
D.7

查看答案和解析>>

科目: 来源:2012-2013学年山东省潍坊市寿光市高三(上)10月段考数学试卷(理科)(解析版) 题型:选择题

幂函数y=f(x)的图象经过点(4,),则f()的值为( )
A.1
B.2
C.3
D.4

查看答案和解析>>

科目: 来源:2012-2013学年山东省潍坊市寿光市高三(上)10月段考数学试卷(理科)(解析版) 题型:选择题

设abc>0,二次函数f(x)=ax2+bx+c的图象可能是( )
A.
B.
C.
D.

查看答案和解析>>

科目: 来源:2012-2013学年山东省潍坊市寿光市高三(上)10月段考数学试卷(理科)(解析版) 题型:选择题

,则a,b,c的大小关系是( )
A.a<b<c
B.c<b<a
C.b<a<c
D.b<c<a

查看答案和解析>>

科目: 来源:2012-2013学年山东省潍坊市寿光市高三(上)10月段考数学试卷(理科)(解析版) 题型:选择题

设曲线在点(3,2)处的切线与直线ax+y+1=0垂直,则a=( )
A.2
B.
C.
D.-2

查看答案和解析>>

科目: 来源:2012-2013学年山东省潍坊市寿光市高三(上)10月段考数学试卷(理科)(解析版) 题型:选择题

函数的零点个数为( )
A.3
B.2
C.1
D.0

查看答案和解析>>

科目: 来源:2012-2013学年山东省潍坊市寿光市高三(上)10月段考数学试卷(理科)(解析版) 题型:选择题

如果等差数列{an}中,a3+a5+a7=12,那么a1+a2+…+a9的值为( )
A.18
B.27
C.36
D.54

查看答案和解析>>

科目: 来源:2012-2013学年山东省潍坊市寿光市高三(上)10月段考数学试卷(理科)(解析版) 题型:选择题

已知定义域为(-1,1),函数f(x)=-x3-x,且f(a-3)+f(9-a2)<0.则a的取值范围是( )
A.(3,
B.(2,3)
C.(2,4)
D.(-2,3)

查看答案和解析>>

科目: 来源:2012-2013学年山东省潍坊市寿光市高三(上)10月段考数学试卷(理科)(解析版) 题型:选择题

已知a>0,函数f(x)=ax2+bx+c,若x满足关于x的方程2ax+b=0,则下列选项的命题中为假命题的是( )
A.?x∈R,f(x)≤f(x
B.?x∈R,f(x)≥f(x
C.?x∈R,f(x)≤f(x
D.?x∈R,f(x)≥f(x

查看答案和解析>>

同步练习册答案