相关习题
 0  83392  83400  83406  83410  83416  83418  83422  83428  83430  83436  83442  83446  83448  83452  83458  83460  83466  83470  83472  83476  83478  83482  83484  83486  83487  83488  83490  83491  83492  83494  83496  83500  83502  83506  83508  83512  83518  83520  83526  83530  83532  83536  83542  83548  83550  83556  83560  83562  83568  83572  83578  83586  266669 

科目: 来源:2012-2013学年湖南省株洲市攸县二中高三(上)第四次月考数学试卷(理科)(解析版) 题型:选择题

若集合A={x|x2-x-6≤0},B={x|x<-1或x>4},则集合A∩B等于( )
A.{x|x≤3或x>4}
B.{x|-2≤x<-1}
C.{x|3≤x<4}
D.{x|-1<x≤3}

查看答案和解析>>

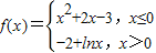
科目: 来源:2012-2013学年湖南省株洲市攸县二中高三(上)第四次月考数学试卷(理科)(解析版) 题型:选择题

函数的零点个数为( )
A.3
B.2
C.1
D.0

查看答案和解析>>

科目: 来源:2012-2013学年湖南省株洲市攸县二中高三(上)第四次月考数学试卷(理科)(解析版) 题型:选择题

是非零向量,若函数的图象是一条直线,则必有( )
A.
B.
C.
D.

查看答案和解析>>

科目: 来源:2012-2013学年湖南省株洲市攸县二中高三(上)第四次月考数学试卷(理科)(解析版) 题型:选择题

设函数,x∈R,则f(x)是( )
A.最小正周期为π的奇函数
B.最小正周期为π的偶函数
C.最小正周期为的奇函数
D.最小正周期为的偶函数

查看答案和解析>>

科目: 来源:2012-2013学年湖南省株洲市攸县二中高三(上)第四次月考数学试卷(理科)(解析版) 题型:选择题

等差数列{an}中,a1=-5,它的前11项的平均值是5,若从中抽取1项,余下10项的平均值是4,则抽取的是( )
A.a11
B.a10
C.a9
D.a8

查看答案和解析>>

科目: 来源:2012-2013学年湖南省株洲市攸县二中高三(上)第四次月考数学试卷(理科)(解析版) 题型:选择题

函数f(x)的定义域为R,f(-1)=2,对任意x∈R,f′(x)>2,则f(x)>2x+4的解集为( )
A.(-1,1)
B.(-1,+∞)
C.(-∞,-l)
D.(-∞,+∞)

查看答案和解析>>

科目: 来源:2012-2013学年湖南省株洲市攸县二中高三(上)第四次月考数学试卷(理科)(解析版) 题型:选择题

已知a>0,函数f(x)=ax2+bx+c,若x满足关于x的方程2ax+b=0,则下列选项的命题中为假命题的是( )
A.?x∈R,f(x)≤f(x
B.?x∈R,f(x)≥f(x
C.?x∈R,f(x)≤f(x
D.?x∈R,f(x)≥f(x

查看答案和解析>>

科目: 来源:2012-2013学年湖南省株洲市攸县二中高三(上)第四次月考数学试卷(理科)(解析版) 题型:选择题

设min{x1,x2,…,xn}表示x1,x2,…,xn中最小的一个.给出下列命题:
①min{x2,x-1}=x-1;         
 ②设a、b∈R+,有
③设a、b∈R,a≠0,|a|≠|b|,有
其中所有正确命题的序号有( )
A.①②
B.①③
C.②③
D.①②③

查看答案和解析>>

科目: 来源:2012-2013学年湖南省株洲市攸县二中高三(上)第四次月考数学试卷(理科)(解析版) 题型:填空题

已知圆C的参数方程为(a为参数)以原点为极点,x轴正半轴为极轴建立极坐标系,直线l的极坐标方程为psinθ=1,则直线l与圆C的交点的直角坐标系为   

查看答案和解析>>

科目: 来源:2012-2013学年湖南省株洲市攸县二中高三(上)第四次月考数学试卷(理科)(解析版) 题型:填空题

AB是圆O的直径,EF切圆O于C,AD⊥EF于D,AD=2,AB=6,则AC长为   

查看答案和解析>>

同步练习册答案