相关习题
 0  83417  83425  83431  83435  83441  83443  83447  83453  83455  83461  83467  83471  83473  83477  83483  83485  83491  83495  83497  83501  83503  83507  83509  83511  83512  83513  83515  83516  83517  83519  83521  83525  83527  83531  83533  83537  83543  83545  83551  83555  83557  83561  83567  83573  83575  83581  83585  83587  83593  83597  83603  83611  266669 

科目: 来源:2012-2013学年山东省济南市济钢高中高三(上)模块考试数学试卷(文科)(解析版) 题型:选择题

函数的定义域为( )
A.[-2,0)∪(0,2]
B.(-1,0)∪(0,2]
C.[-2,2]
D.(-1,2]

查看答案和解析>>

科目: 来源:2012-2013学年山东省济南市济钢高中高三(上)模块考试数学试卷(文科)(解析版) 题型:选择题

若函数是偶函数,则ϕ=( )
A.
B.
C.
D.

查看答案和解析>>

科目: 来源:2012-2013学年山东省济南市济钢高中高三(上)模块考试数学试卷(文科)(解析版) 题型:选择题

若f(x)是R上周期为5的奇函数,且满足f(1)=1,f(2)=3,则f(8)-f(4)的值为( )
A.-1
B.1
C.-2
D.2

查看答案和解析>>

科目: 来源:2012-2013学年山东省济南市济钢高中高三(上)模块考试数学试卷(文科)(解析版) 题型:选择题

函数f(x)=的零点个数为( )
A.0
B.1
C.2
D.3

查看答案和解析>>

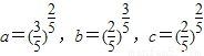
科目: 来源:2012-2013学年山东省济南市济钢高中高三(上)模块考试数学试卷(文科)(解析版) 题型:选择题

,则a,b,c的大小关系是( )
A.a>c>b
B.a>b>c
C.c>a>b
D.b>c>a

查看答案和解析>>

科目: 来源:2012-2013学年山东省济南市济钢高中高三(上)模块考试数学试卷(文科)(解析版) 题型:选择题

已知角θ的顶点与原点重合,始边与x轴的正半轴重合,终边在直线y=2x上,则cos2θ=( )
A.-
B.-
C.
D.

查看答案和解析>>

科目: 来源:2012-2013学年山东省济南市济钢高中高三(上)模块考试数学试卷(文科)(解析版) 题型:选择题

函数y=ln的大致图象为( )
A.
B.
C.
D.

查看答案和解析>>

科目: 来源:2012-2013学年山东省济南市济钢高中高三(上)模块考试数学试卷(文科)(解析版) 题型:选择题

△ABC中,AB边的高为CD,若===0,||=1,||=2,则=( )
A.
B.
C.
D.

查看答案和解析>>

科目: 来源:2012-2013学年山东省济南市济钢高中高三(上)模块考试数学试卷(文科)(解析版) 题型:填空题

如果sinα=,且α为第二象限角,则sin2α=   

查看答案和解析>>

科目: 来源:2012-2013学年山东省济南市济钢高中高三(上)模块考试数学试卷(文科)(解析版) 题型:填空题

已知向量=   

查看答案和解析>>

同步练习册答案