相关习题
 0  83437  83445  83451  83455  83461  83463  83467  83473  83475  83481  83487  83491  83493  83497  83503  83505  83511  83515  83517  83521  83523  83527  83529  83531  83532  83533  83535  83536  83537  83539  83541  83545  83547  83551  83553  83557  83563  83565  83571  83575  83577  83581  83587  83593  83595  83601  83605  83607  83613  83617  83623  83631  266669 

科目: 来源:2012-2013学年福建省三明市大田一中高三(上)第一次段考数学试卷(理科)(解析版) 题型:解答题

已知f(x)是定义在R上的奇函数,当x≥0时f(x)=2x-x2
(1)求函数f(x)的表达式;
(2)画出其大致图象并指出其单调区间.
(3)若函数g(x)=f(x)+k-1有三个零点,求K的取值范围.

查看答案和解析>>

科目: 来源:2012-2013学年福建省三明市大田一中高三(上)第一次段考数学试卷(理科)(解析版) 题型:解答题

已知函数f(x)=2cos2x-2sinxcosx-
(1)求函数的最小正周期及取得最小值的x的集合;
(2)求函数f(x)的单调递增区间.
(3)求f(x)在处的切线方程.

查看答案和解析>>

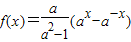
科目: 来源:2012-2013学年福建省三明市大田一中高三(上)第一次段考数学试卷(理科)(解析版) 题型:解答题

已知函数,(a>0且a≠1).
(1)判断函数f(x)的单调性,并证明;
(2)当函数f(x)的定义域为(-1,1)时,求使f(1-m)+f(1-m2)<0成立的实数m的取值范围.

查看答案和解析>>

科目: 来源:2012-2013学年福建省三明市大田一中高三(上)第一次段考数学试卷(理科)(解析版) 题型:解答题

为了在夏季降温和冬季供暖时减少能源损耗,房屋的屋顶和外墙需要建造隔热层.某幢建筑物要建造可使用20年的隔热层,每厘米厚的隔热层建造成本为6万元.该建筑物每年的能源消耗费用C(单位:万元)与隔热层厚度x(单位:cm)满足关系:C(x)=,若不建隔热层,每年能源消耗费用为8万元.设f(x)为隔热层建造费用与20年的能源消耗费用之和.
(Ⅰ)求k的值及f(x)的表达式.
(Ⅱ)隔热层修建多厚时,总费用f(x)达到最小,并求最小值.

查看答案和解析>>

科目: 来源:2012-2013学年福建省三明市大田一中高三(上)第一次段考数学试卷(理科)(解析版) 题型:解答题

设函数f(x)=lnx+x2+ax.
(Ⅰ)若时,f(x)取得极值,求a的值;
(Ⅱ)若f(x)在其定义域内为增函数,求a的取值范围;
(Ⅲ)设g(x)=f(x)-x2+1,当a=-1时,证明g(x)≤0在其定义域内恒成立,并证明(n∈N,n≥2).

查看答案和解析>>

科目: 来源:2012-2013学年江苏省常州市武进区教育学会高三(上)期中数学试卷(文科)(解析版) 题型:填空题

已知集合M={x|x2<4,x∈R},N={x|xlnx>0},则集合M∩N=   

查看答案和解析>>

科目: 来源:2012-2013学年江苏省常州市武进区教育学会高三(上)期中数学试卷(文科)(解析版) 题型:填空题

已知向量,则向量的夹角为   

查看答案和解析>>

科目: 来源:2012-2013学年江苏省常州市武进区教育学会高三(上)期中数学试卷(文科)(解析版) 题型:填空题

设直线l是曲线上的一条切线,则切线l斜率最小时对应的倾斜角为   

查看答案和解析>>

科目: 来源:2012-2013学年江苏省常州市武进区教育学会高三(上)期中数学试卷(文科)(解析版) 题型:填空题

y=sin2x+2sinxcosx的周期是   

查看答案和解析>>

科目: 来源:2012-2013学年江苏省常州市武进区教育学会高三(上)期中数学试卷(文科)(解析版) 题型:填空题

公比为2的等比数列{an}的各项都是正数,且a4a10=16,则a10=   

查看答案和解析>>

同步练习册答案