相关习题
0 83541 83549 83555 83559 83565 83567 83571 83577 83579 83585 83591 83595 83597 83601 83607 83609 83615 83619 83621 83625 83627 83631 83633 83635 83636 83637 83639 83640 83641 83643 83645 83649 83651 83655 83657 83661 83667 83669 83675 83679 83681 83685 83691 83697 83699 83705 83709 83711 83717 83721 83727 83735 266669
科目:
来源:2012-2013学年上海市闵行区七宝中学高一(上)周考数学试卷(解析版)
题型:填空题
有限集合P中元素的个数记作card(P).已知card(M)=10,A⊆M,B⊆M,A∩B=∅,且card(A)=2,card(B)=3.若集合X满足A⊆X⊆M,则集合X的个数是 (用数字作答)
查看答案和解析>>
科目:
来源:2012-2013学年上海市闵行区七宝中学高一(上)周考数学试卷(解析版)
题型:填空题
对于任意实数x,[x]表示不超过x的最大整数,如[1.1]=1,[-2.1]=-3.定义R上的函数f(x)=[x]+[2x]+[4x],若A={y|y=f(x),0≤x≤1},则A中所有元素的和为 .
查看答案和解析>>
科目:
来源:2012-2013学年上海市闵行区七宝中学高一(上)周考数学试卷(解析版)
题型:填空题
某班共有50名学生,已知以下信息:
①男生共有33人;
②女团员共有7人;
③住校的女生共有9人;
④不住校的团员共有15人;
⑤住校的男团员共有6人;
⑥男生中非团员且不住校的共有8人;
⑦女生中非团员且不住校的共有3人.
根据以上信息,该班住校生共有 人.
查看答案和解析>>
科目:
来源:2012-2013学年上海市闵行区七宝中学高一(上)周考数学试卷(解析版)
题型:选择题
f(x)=lg(1-x
2),集合A={x|y=f(x)},B={y|y=f(x)},则如图中阴影部分表示的集合为( )

A.[-1,0]
B.(-1,0)
C.(-∞,-1)∪[0,1)
D.(-∞,-1]∪(0,1)
查看答案和解析>>
科目:
来源:2012-2013学年上海市闵行区七宝中学高一(上)周考数学试卷(解析版)
题型:选择题
函数y=2
x-x
2的图象大致是( )
A.

B.

C.

D.

查看答案和解析>>
科目:
来源:2012-2013学年上海市闵行区七宝中学高一(上)周考数学试卷(解析版)
题型:选择题
已知集合A={x||x-2|<3},B={x|x2+(1-a)x-a<0},若B⊆A,则实数a的取值范围是( )
A.{a|-1≤a≤5}
B.{a|-1<a<5}
C.{a|-1≤a<5}
D.{a|-1<a≤5}
查看答案和解析>>
科目:
来源:2012-2013学年上海市闵行区七宝中学高一(上)周考数学试卷(解析版)
题型:选择题
若实数a,b满足a≥0,b≥0,且ab=0,则称a与b互补,记φ(a,b)=

-a-b那么φ(a,b)=0是a与b互补的( )
A.必要不充分条件
B.充分不必要的条件
C.充要条件
D.既不充分也不必要条件
查看答案和解析>>
科目:
来源:2012-2013学年上海市闵行区七宝中学高一(上)周考数学试卷(解析版)
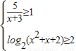
题型:解答题
解不等式组:

.
查看答案和解析>>
科目:
来源:2012-2013学年上海市闵行区七宝中学高一(上)周考数学试卷(解析版)
题型:解答题
已知命题①:函数y=ax2-2ax+a+1的图象总在x轴上方;命题②:关于x的方程(a-1)x2+(2a-4)x+a=0有两个不相等的实数根.
(1)若命题①为真,求a的取值范围;
(2)若命题②为真,求a的取值范围;
(3)若命题①、②中至多有一个命题为真,求a的取值范围.
查看答案和解析>>
科目:
来源:2012-2013学年上海市闵行区七宝中学高一(上)周考数学试卷(解析版)
题型:解答题
设

,若a
1+a
2+…+a
n=a
1a
2…a
n,则称集合A是集合M的n元“好集”.
(1)写出实数集R上的一个二元“好集”;
(2)是否存在正整数集合N
*上的二元“好集”?说明理由;
(3)求出正整数集合N
*的所有三元“好集”.
查看答案和解析>>