相关习题
0 83620 83628 83634 83638 83644 83646 83650 83656 83658 83664 83670 83674 83676 83680 83686 83688 83694 83698 83700 83704 83706 83710 83712 83714 83715 83716 83718 83719 83720 83722 83724 83728 83730 83734 83736 83740 83746 83748 83754 83758 83760 83764 83770 83776 83778 83784 83788 83790 83796 83800 83806 83814 266669
科目:
来源:2012-2013学年浙江省衢州市常山一中高三(上)第三次月考数学试卷(理科)(解析版)
题型:填空题
已知P为椭圆

和双曲线

的一个交点,F
1,F
2为椭圆的焦点,那么∠F
1PF
2的余弦值为
.
查看答案和解析>>
科目:
来源:2012-2013学年浙江省衢州市常山一中高三(上)第三次月考数学试卷(理科)(解析版)
题型:填空题
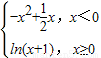
已知函数f(x)=

,若f(x)-kx有三个零点,则k的取值范围为
.
查看答案和解析>>
科目:
来源:2012-2013学年浙江省衢州市常山一中高三(上)第三次月考数学试卷(理科)(解析版)
题型:填空题
如图,扇形AOB的弧的中点为M,动点C,D分别在线段OA,OB上,且OC=BD.若OA=1,∠AOB=120°,则

的取值范围是
.

查看答案和解析>>
科目:
来源:2012-2013学年浙江省衢州市常山一中高三(上)第三次月考数学试卷(理科)(解析版)
题型:解答题
已知函数f(x)=(

sinx-cosx)cosx.
(Ⅰ)求f(x)的最小正周期和最大值;
(Ⅱ)在△ABC中,a,b,c分别为角A,B,C的对边,S为△ABC的面积.若f(A)=

,a=2

,S=2

,求b,c.
查看答案和解析>>
科目:
来源:2012-2013学年浙江省衢州市常山一中高三(上)第三次月考数学试卷(理科)(解析版)
题型:解答题
已知等比数列{a
n}的公比大于1,S
n是数列{a
n}的前n项和,S
3=39,且a
1,

,

依次成等差数列.
(Ⅰ)求数列{a
n}的通项公式;
(II)若数列{bn}满足:b
1=3,b
n=a
n(

+

+…+

)(n≥2),求数列{b
n}的前n项和T
n.
查看答案和解析>>
科目:
来源:2012-2013学年浙江省衢州市常山一中高三(上)第三次月考数学试卷(理科)(解析版)
题型:解答题
已知函数f(x)=x
2•e
ax,x∈R,其中e为自然对数的底数,a∈R.
(1)设a=-1,x∈[-1,1],求函数y=f(x)的最值;
(2)若对于任意的a>0,都有

成立,x的取值范围.
查看答案和解析>>
科目:
来源:2012-2013学年浙江省衢州市常山一中高三(上)第三次月考数学试卷(理科)(解析版)
题型:解答题

如图,已知正方形ABCD和矩形ACEF所在的平面互相垂直,AB=

,AF=1,M是线段EF的中点.
(1)求证AM∥平面BDE;
(2)求二面角A-DF-B的大小;
(3)试在线段AC上一点P,使得PF与CD所成的角是60°.
查看答案和解析>>
科目:
来源:2012-2013学年浙江省衢州市常山一中高三(上)第三次月考数学试卷(理科)(解析版)
题型:解答题
设A(x
1,y
1),B(x
2,y
2)是椭圆

,(a>b>0)上的两点,已知向量

=(

,

),

=(

,

),且

,若椭圆的离心率

,短轴长为2,O为坐标原点:
(Ⅰ)求椭圆的方程;
(Ⅱ)若直线AB过椭圆的焦点F(0,c),(c为半焦距),求直线AB的斜率k的值;
(Ⅲ)试问:△AOB的面积是否为定值?如果是,请给予证明;如果不是,请说明理由.
查看答案和解析>>
科目:
来源:2012-2013学年山西省太原五中高三(上)12月月考数学试卷(理科)(解析版)
题型:选择题
已知空间中两点A(1,2,3),B(4,2,a),且|AB|=

,则a=( )
A.1或2
B.1或4
C.0或2
D.2或4
查看答案和解析>>
科目:
来源:2012-2013学年山西省太原五中高三(上)12月月考数学试卷(理科)(解析版)
题型:选择题
在△ABC中,bcos(A+B)-2acos(A+C)=ccosB,则B=( )
A.

B.

C.

D.

查看答案和解析>>