相关习题
 0  83626  83634  83640  83644  83650  83652  83656  83662  83664  83670  83676  83680  83682  83686  83692  83694  83700  83704  83706  83710  83712  83716  83718  83720  83721  83722  83724  83725  83726  83728  83730  83734  83736  83740  83742  83746  83752  83754  83760  83764  83766  83770  83776  83782  83784  83790  83794  83796  83802  83806  83812  83820  266669 

科目: 来源:2011-2012学年广东省东莞一中高一(下)第一次月考数学试卷(解析版) 题型:解答题

已知两圆x2+y2-2x+10y-24=0和 x2+y2+2x+2y-8=0
(1)判断两圆的位置关系;
(2)求公共弦所在的直线方程;
(3)求公共弦的长.

查看答案和解析>>

科目: 来源:2011-2012学年广东省东莞一中高一(下)第一次月考数学试卷(解析版) 题型:解答题

已知,求值:cos2α-sin2α.

查看答案和解析>>

科目: 来源:2011-2012学年广东省东莞一中高一(下)第一次月考数学试卷(解析版) 题型:解答题

已知点M(-3,4)和圆O:x2+y2=4,动点N在圆O上运动,以OM,ON为两边作平行四边形MONP,求点P的轨迹.

查看答案和解析>>

科目: 来源:2011-2012学年广东省东莞一中高一(下)第一次月考数学试卷(解析版) 题型:解答题

已知圆C:x2+y2-8x+4y+16=0
(1)若直线l过点A(3,0),且被圆C截得的弦长为,求直线l的方程;
(2)设直线l:mx-(m2+1)y=4m,m∈R,问直线l能否将圆C分割成弧长的比值为的两段圆弧?为什么?

查看答案和解析>>

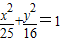
科目: 来源:2012-2013学年辽宁省铁岭市开原市高级中学高二(上)期末数学试卷(文科)(解析版) 题型:选择题

椭圆的焦距是( )
A.3
B.6
C.8
D.10

查看答案和解析>>

科目: 来源:2012-2013学年辽宁省铁岭市开原市高级中学高二(上)期末数学试卷(文科)(解析版) 题型:选择题

设有一个回归方程=2-2.5x,变量x增加一个单位时,变量平均( )
A.增加2.5个单位
B.增加2个单位
C.减少2.5个单位
D.减少2个单位

查看答案和解析>>

科目: 来源:2012-2013学年辽宁省铁岭市开原市高级中学高二(上)期末数学试卷(文科)(解析版) 题型:选择题

下列有关样本相关系数的说法不正确的是( )
A.相关系数用来衡量x与y之间的线性相关程度
B.|r|≤1,且|r|越接近0,相关程度越小
C.|r|≤1,且|r|越接近1,相关程度越大
D.|r|≥1,且|r|越接近1,相关程度越大

查看答案和解析>>

科目: 来源:2012-2013学年辽宁省铁岭市开原市高级中学高二(上)期末数学试卷(文科)(解析版) 题型:选择题

函数y=f′(x)的图象如图所示,则f(x)的解析式可能是( )

A.y=x2-2
B.y=x2+2
C.
D.

查看答案和解析>>

科目: 来源:2012-2013学年辽宁省铁岭市开原市高级中学高二(上)期末数学试卷(文科)(解析版) 题型:选择题

已知点A(3,1)是直线l被双曲线所截得的弦的中点,则直线l的方程是( )
A.9x-4y-23=0
B.9x+4y-31=0
C.x-4y+1=0
D.x+4y-7=0

查看答案和解析>>

科目: 来源:2012-2013学年辽宁省铁岭市开原市高级中学高二(上)期末数学试卷(文科)(解析版) 题型:选择题

设F为抛物线y2=4x的焦点,A,B,C为该抛物线上三点,若=0,则的值为( )
A.3
B.4
C.6
D.9

查看答案和解析>>

同步练习册答案