相关习题
 0  83697  83705  83711  83715  83721  83723  83727  83733  83735  83741  83747  83751  83753  83757  83763  83765  83771  83775  83777  83781  83783  83787  83789  83791  83792  83793  83795  83796  83797  83799  83801  83805  83807  83811  83813  83817  83823  83825  83831  83835  83837  83841  83847  83853  83855  83861  83865  83867  83873  83877  83883  83891  266669 

科目: 来源:2012-2013学年浙江省重点高中高二(上)12月月考数学试卷(文科)(解析版) 题型:填空题

一个长方体的长、宽、高之比为2:1:3,全面积为88cm2,则它的体积为     cm3

查看答案和解析>>

科目: 来源:2012-2013学年浙江省重点高中高二(上)12月月考数学试卷(文科)(解析版) 题型:填空题

已知点M是直线l:2x-y-4=0与x轴的交点,过M点作直线l的垂线,得到的直线方程是   

查看答案和解析>>

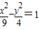
科目: 来源:2012-2013学年浙江省重点高中高二(上)12月月考数学试卷(文科)(解析版) 题型:填空题

双曲线的一个焦点到一条渐近线的距离是   

查看答案和解析>>

科目: 来源:2012-2013学年浙江省重点高中高二(上)12月月考数学试卷(文科)(解析版) 题型:填空题

下列四个说法
①a∥α,b?α,则a∥b
②a∩α=P,b?α,则a与b不平行
③a?α,则a∥α
④a∥α,b∥α,则a∥b
其中错误的说法的是   

查看答案和解析>>

科目: 来源:2012-2013学年浙江省重点高中高二(上)12月月考数学试卷(文科)(解析版) 题型:填空题

已知△ABC的顶点B、C在椭圆+y2=1上,顶点A与椭圆的焦点F1重合,且椭圆的另外一个焦点F2在BC边上,则△ABC的周长是   

查看答案和解析>>

科目: 来源:2012-2013学年浙江省重点高中高二(上)12月月考数学试卷(文科)(解析版) 题型:填空题

设A为圆(x-2)2+(y-2)2=1上一动点,则A到直线x-y-5=0的最大距离为   

查看答案和解析>>

科目: 来源:2012-2013学年浙江省重点高中高二(上)12月月考数学试卷(文科)(解析版) 题型:填空题

已知点P是椭圆上的在第一象限内的点,又A(2,0)、B(0,1),O是原点,则四边形OAPB的面积的最大值是   

查看答案和解析>>

科目: 来源:2012-2013学年浙江省重点高中高二(上)12月月考数学试卷(文科)(解析版) 题型:解答题

己知圆C:(x-2)2+y2=9,直线l:x+y=0.
(1)求与圆C相切,且与直线l平行的直线m的方程;
(2)若直线n与圆C有公共点,且与直线l垂直,求直线n在y轴上的截距b的取值范围.

查看答案和解析>>

科目: 来源:2012-2013学年浙江省重点高中高二(上)12月月考数学试卷(文科)(解析版) 题型:解答题

已知一个四棱锥P-ABCD的三视图(正视图与侧视图为直角三角形,俯视图是带有一条对角形的正方形)如下,E是侧棱PC上的动点.
(1)求四棱锥P-ABCD的体积;
(2)是否不论点E在何位置都有BD⊥AE,证明你的结论.

查看答案和解析>>

科目: 来源:2012-2013学年浙江省重点高中高二(上)12月月考数学试卷(文科)(解析版) 题型:解答题

已知菱形ABCD的边长为2,对角线AC与BD交于点O,且∠ABC=120°,M为BC的中点.将此菱形沿对角线BD折成二面角A-BD-C.
( I)求证:面AOC⊥面BCD;
( II)若二面角A-BD-C为60°时,求直线AM与面AOC所成角的余弦值.

查看答案和解析>>

同步练习册答案