相关习题
0 83723 83731 83737 83741 83747 83749 83753 83759 83761 83767 83773 83777 83779 83783 83789 83791 83797 83801 83803 83807 83809 83813 83815 83817 83818 83819 83821 83822 83823 83825 83827 83831 83833 83837 83839 83843 83849 83851 83857 83861 83863 83867 83873 83879 83881 83887 83891 83893 83899 83903 83909 83917 266669
科目:
来源:2012-2013学年江西省赣州市于都实验中学高三(上)第三次月考数学试卷(文科)(解析版)
题型:解答题
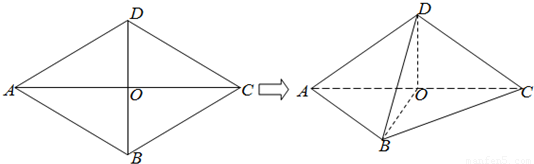
如图所示,已知菱形ABCD的边长为2,AC∩BD=O.∠DAB=60°,将菱形ABCD沿对角线AC折起,得到三棱锥D-ABC.

(1)求证:平面BOD⊥平面ABC;
(2)若三棱锥D-ABC的体积为

,求BD的长.
查看答案和解析>>
科目:
来源:2012-2013学年江西省赣州市于都实验中学高三(上)第三次月考数学试卷(文科)(解析版)
题型:解答题
已知数列{an}的前n项和为Sn,且Sn=2an+n-4(n∈N*)
(1)求证:数列{an-1}为等比数列,并求数列{an}的通项公式;
(2)设cn=anlog2(an-1),求数列{cn}的前n项和为Tn.
查看答案和解析>>
科目:
来源:2012-2013学年江西省赣州市于都实验中学高三(上)第三次月考数学试卷(文科)(解析版)
题型:解答题
已知椭圆

的离心率为

,其中左焦点F(-2,0).
(1)求椭圆C的方程;
(2)若直线y=x+m与椭圆C交于不同的两点A,B,且线段AB的中点M在圆x
2+y
2=1上,求m的值.
查看答案和解析>>
科目:
来源:2012-2013学年江西省赣州市于都实验中学高三(上)第三次月考数学试卷(文科)(解析版)
题型:解答题
已知曲线C1:y=ax2+b和曲线C2:y=2blnx(a,b∈R)均与直线l:y=2x相切.
(1)求实数a、b的值;
(2)设直线x=t(t>0)与曲线C1,C2及直线l分别相交于点M,N,P,记f(t)=|MP|-|NP|,求f(t)在区间(0,e](e为自然对数的底)上的最大值.
查看答案和解析>>
科目:
来源:2012-2013学年陕西省宝鸡中学高三(上)第二次月考数学试卷(理科)(解析版)
题型:选择题
集合A={x|x(2-x)>0},B={x|x(x-1)=0}.则A∩B=( )
A.(0,1)
B.{0,1}
C.(0,2)
D.{1}
查看答案和解析>>
科目:
来源:2012-2013学年陕西省宝鸡中学高三(上)第二次月考数学试卷(理科)(解析版)
题型:选择题
命题P:任意锐角△ABC,都有sinA>cosB;命题q:存在x∈R,|x|≤0.则( )
A.P或q假
B.P且q真
C.¬p且¬q真
D.¬p或¬q真
查看答案和解析>>
科目:
来源:2012-2013学年陕西省宝鸡中学高三(上)第二次月考数学试卷(理科)(解析版)
题型:选择题
锐角α适合方程sinα-2cosα=0,α应是在( )范围.
A.

B.

C.

D.

查看答案和解析>>
科目:
来源:2012-2013学年陕西省宝鸡中学高三(上)第二次月考数学试卷(理科)(解析版)
题型:选择题
关于x的方程x2-2x-a=0在[-1,+∞)上有解,则实数a的取值范围为( )
A.(-∞,-1]
B.[-1,+∞)
C.(-∞,0]
D.[0,+∞)
查看答案和解析>>
科目:
来源:2012-2013学年陕西省宝鸡中学高三(上)第二次月考数学试卷(理科)(解析版)
题型:选择题
函数f(x)=x
2+cosx在

上的最小值为( )
A.1
B.

C.3
D.

查看答案和解析>>
科目:
来源:2012-2013学年陕西省宝鸡中学高三(上)第二次月考数学试卷(理科)(解析版)
题型:选择题
某水杯内壁是由抛物线y=x2绕轴旋转而成,假设水杯内壁底部到杯口距离10cm,则该水杯容积大约为( )毫升.
A.100
B.150
C.200
D.250
查看答案和解析>>