相关习题
 0  83765  83773  83779  83783  83789  83791  83795  83801  83803  83809  83815  83819  83821  83825  83831  83833  83839  83843  83845  83849  83851  83855  83857  83859  83860  83861  83863  83864  83865  83867  83869  83873  83875  83879  83881  83885  83891  83893  83899  83903  83905  83909  83915  83921  83923  83929  83933  83935  83941  83945  83951  83959  266669 

科目: 来源:2012-2013学年河北省邢台一中高二(上)第二次月考数学试卷(文科)(解析版) 题型:选择题

“x2-1=0”是“x-1=0”的( )
A.充分不必要条件
B.必要不充分条件
C.充要条件
D.既不充分也不必要条件

查看答案和解析>>

科目: 来源:2012-2013学年河北省邢台一中高二(上)第二次月考数学试卷(文科)(解析版) 题型:选择题

函数f(x)=xex的单调递增区间是( )
A.(-∞,-1)
B.(-∞,0)
C.(0,+∞)
D.(-1,+∞)

查看答案和解析>>

科目: 来源:2012-2013学年河北省邢台一中高二(上)第二次月考数学试卷(文科)(解析版) 题型:选择题

下列选项错误的是( )
A.若p且q为真命题,则p、q均为真命题
B.“x>2”是“x2-3x+2>0”的充分不必要条件
C.命题p:存在x∈R,使得x2+x+1<0,则¬p:任意x∈R,都有x2+x+1≥0
D.若f′(x)=0,则f(x)是函数f(x)的极值

查看答案和解析>>

科目: 来源:2012-2013学年河北省邢台一中高二(上)第二次月考数学试卷(文科)(解析版) 题型:选择题

已知函数f(x)在R上满足f(x)=2x3-x2+8x-8,则曲线y=f(x)在点(1,f(1))处的切线方程是( )
A.y=9x+8
B.y=12x+11
C.y=9x-8
D.y=12x-11

查看答案和解析>>

科目: 来源:2012-2013学年河北省邢台一中高二(上)第二次月考数学试卷(文科)(解析版) 题型:选择题

函数y=+lnx在[,2]上的最大值与最小值分别是( )
A.2-ln2,1
B.2-ln2,+ln2
C.+ln2,1
D.1,1-ln2

查看答案和解析>>

科目: 来源:2012-2013学年河北省邢台一中高二(上)第二次月考数学试卷(文科)(解析版) 题型:选择题

双曲线的两条渐近线互相垂直,那么该双曲线的离心率是( )
A.2
B.
C.
D.

查看答案和解析>>

科目: 来源:2012-2013学年河北省邢台一中高二(上)第二次月考数学试卷(文科)(解析版) 题型:选择题

设函数f(x)=-2x3-x+1,x∈[m,n]且f(m)f(n)<0则方程f(x)=0在[m,n]上( )
A.至少有三个实数根
B.至少有两个实数根
C.有且只有一个实数根
D.无实数根

查看答案和解析>>

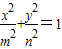
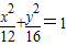
科目: 来源:2012-2013学年河北省邢台一中高二(上)第二次月考数学试卷(文科)(解析版) 题型:选择题

设椭圆(m>0,n>0)的右焦点与抛物线y2=8x的焦点相同,离心率为,则此椭圆的方程为( )
A.
B.
C.
D.

查看答案和解析>>

科目: 来源:2012-2013学年河北省邢台一中高二(上)第二次月考数学试卷(文科)(解析版) 题型:选择题

上是减函数,则b的取值范围是( )
A.[-1,+∞)
B.(-1,+∞)
C.(-∞,-1]
D.(-∞,-1)

查看答案和解析>>

科目: 来源:2012-2013学年河北省邢台一中高二(上)第二次月考数学试卷(文科)(解析版) 题型:选择题

设f′(x)是函数f(x)的导函数,y=f′(x)的图象如图所示,则y=f(x)的图象最有可能的是( )
A.
B.
C.
D.

查看答案和解析>>

同步练习册答案