相关习题
 0  83799  83807  83813  83817  83823  83825  83829  83835  83837  83843  83849  83853  83855  83859  83865  83867  83873  83877  83879  83883  83885  83889  83891  83893  83894  83895  83897  83898  83899  83901  83903  83907  83909  83913  83915  83919  83925  83927  83933  83937  83939  83943  83949  83955  83957  83963  83967  83969  83975  83979  83985  83993  266669 

科目: 来源:2012-2013学年天津八中高三(上)第二次月考数学试卷(理科)(解析版) 题型:选择题

α是第四象限角,,则sinα=( )
A.
B.
C.
D.

查看答案和解析>>

科目: 来源:2012-2013学年天津八中高三(上)第二次月考数学试卷(理科)(解析版) 题型:选择题

设平面向量=(1,2),=(-2,y),若,则|3+|等于( )
A.
B.
C.
D.

查看答案和解析>>

科目: 来源:2012-2013学年天津八中高三(上)第二次月考数学试卷(理科)(解析版) 题型:选择题

函数y=f(x)是R上的偶函数,且在(-∞,0]上是增函数,若f(a)≤f(2),则实数a的取值范围是( )
A.a≤2
B.a≥-2
C.-2≤a≤2
D.a≤-2或a≥2

查看答案和解析>>

科目: 来源:2012-2013学年天津八中高三(上)第二次月考数学试卷(理科)(解析版) 题型:选择题

下列函数中,图象的一部分如图所示的是( )

A.
B.
C.
D.

查看答案和解析>>

科目: 来源:2012-2013学年天津八中高三(上)第二次月考数学试卷(理科)(解析版) 题型:选择题

在△ABC中,“=”是“||=||”( )
A.充分而不必要条件
B.必要而不充分条件
C.充分必要条件
D.既不充分也不必要条件

查看答案和解析>>

科目: 来源:2012-2013学年天津八中高三(上)第二次月考数学试卷(理科)(解析版) 题型:选择题

设函数f(x)在定义域内可导,y=f(x)的图象如图所示,则导函数y=f′(x)可能( )
A.
B.
C.
D.

查看答案和解析>>

科目: 来源:2012-2013学年天津八中高三(上)第二次月考数学试卷(理科)(解析版) 题型:选择题

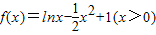
设函数,则函数y=f(x)( )
A.在区间(0,1),(1,2)内均有零点
B.在区间(0,1)内有零点,在区间(1,2)内无零点
C.在区间(0,1),(1,2)内均无零点
D.在区间(0,1)内无零点,在区间(1,2)内有零点

查看答案和解析>>

科目: 来源:2012-2013学年天津八中高三(上)第二次月考数学试卷(理科)(解析版) 题型:填空题

若α是第三象限角,且tan(α-π)=2,则=   

查看答案和解析>>

科目: 来源:2012-2013学年天津八中高三(上)第二次月考数学试卷(理科)(解析版) 题型:填空题

若f(x)=2x+2-xlga是奇函数,则实数a=   

查看答案和解析>>

科目: 来源:2012-2013学年天津八中高三(上)第二次月考数学试卷(理科)(解析版) 题型:填空题

在△ABC中,角A,B,C所对的边分别为a,b,c,若a=1,,则 B=   

查看答案和解析>>

同步练习册答案