相关习题
 0  83811  83819  83825  83829  83835  83837  83841  83847  83849  83855  83861  83865  83867  83871  83877  83879  83885  83889  83891  83895  83897  83901  83903  83905  83906  83907  83909  83910  83911  83913  83915  83919  83921  83925  83927  83931  83937  83939  83945  83949  83951  83955  83961  83967  83969  83975  83979  83981  83987  83991  83997  84005  266669 

科目: 来源:2012-2013学年浙江省舟山市嵊泗中学高一(上)第二次月考数学试卷(解析版) 题型:填空题

函数y=ax+1的图象过定点   

查看答案和解析>>

科目: 来源:2012-2013学年浙江省舟山市嵊泗中学高一(上)第二次月考数学试卷(解析版) 题型:填空题

已知tanx=2,则=   

查看答案和解析>>

科目: 来源:2012-2013学年浙江省舟山市嵊泗中学高一(上)第二次月考数学试卷(解析版) 题型:填空题

函数的定义域为   

查看答案和解析>>

科目: 来源:2012-2013学年浙江省舟山市嵊泗中学高一(上)第二次月考数学试卷(解析版) 题型:填空题

若函数f(x)=(m-1)x2+2mx+m-2的图象与x轴有两个交点,则m的取值范围是   

查看答案和解析>>

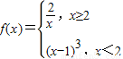
科目: 来源:2012-2013学年浙江省舟山市嵊泗中学高一(上)第二次月考数学试卷(解析版) 题型:填空题

已知函数,若关于x的方程f(x)=k有两个不同的实根,则实数k的取值范围是   

查看答案和解析>>

科目: 来源:2012-2013学年浙江省舟山市嵊泗中学高一(上)第二次月考数学试卷(解析版) 题型:填空题

给出下列四种说法:
①函数y=ax(a>0且a≠1)与函数y=logaax(a>0且a≠1)的定义域相同;
②函数y=x3与y=3x的值域相同;
③函数y=+与y=都是奇函数;
④函数y=(x-1)2与y=2x-1在区间[0,+∞)上都是增函数.
其中正确的序号是    (把你认为正确叙述的序号都填上).

查看答案和解析>>

科目: 来源:2012-2013学年浙江省舟山市嵊泗中学高一(上)第二次月考数学试卷(解析版) 题型:解答题

计算
(1)
(2)

查看答案和解析>>

科目: 来源:2012-2013学年浙江省舟山市嵊泗中学高一(上)第二次月考数学试卷(解析版) 题型:解答题

已知f(x)=2x,g(x)是一次函数,并且点(2,2)在函数f[g(x)]的图象上,点(2,5)在函数g[f(x)]的图象上,求g(x)的解析式.

查看答案和解析>>

科目: 来源:2012-2013学年浙江省舟山市嵊泗中学高一(上)第二次月考数学试卷(解析版) 题型:解答题

已知函数f(x)=loga(x+2)(a>0,a≠1)在区间[0,6]上的最大值比最小值大,求a的值.

查看答案和解析>>

科目: 来源:2012-2013学年浙江省舟山市嵊泗中学高一(上)第二次月考数学试卷(解析版) 题型:解答题

已知函数
(1)设t=log2x,求t的取值范围;
(2)求f(x)的最值,并给出函数取得最值时相应的x的值.

查看答案和解析>>

同步练习册答案