相关习题
 0  83813  83821  83827  83831  83837  83839  83843  83849  83851  83857  83863  83867  83869  83873  83879  83881  83887  83891  83893  83897  83899  83903  83905  83907  83908  83909  83911  83912  83913  83915  83917  83921  83923  83927  83929  83933  83939  83941  83947  83951  83953  83957  83963  83969  83971  83977  83981  83983  83989  83993  83999  84007  266669 

科目: 来源:2012-2013学年北京市海淀区八一中学高三(上)周练数学试卷(1)(理科)(解析版) 题型:填空题

设f(x)是周期为2的奇函数,当0≤x≤1时,f(x)=2x(1-x),则=   

查看答案和解析>>

科目: 来源:2012-2013学年北京市海淀区八一中学高三(上)周练数学试卷(1)(理科)(解析版) 题型:填空题

三个数log0.60.8,log3.40.7和(,由小到大的顺序是   

查看答案和解析>>

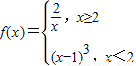
科目: 来源:2012-2013学年北京市海淀区八一中学高三(上)周练数学试卷(1)(理科)(解析版) 题型:填空题

已知函数若关于x 的方程f(x)=k有两个不同的实根,则数k的取值范围是   

查看答案和解析>>

科目: 来源:2012-2013学年北京市海淀区八一中学高三(上)周练数学试卷(1)(理科)(解析版) 题型:填空题

若函数若f(a)>f(-a),则实数a的取值范围是   

查看答案和解析>>

科目: 来源:2012-2013学年北京市海淀区八一中学高三(上)周练数学试卷(1)(理科)(解析版) 题型:填空题

某校数学课外小组在坐标纸上,为学校的一块空地设计植树方案如下:第k棵树种植在点Pk(xk,yk)处,其中x1=1,y1=1,当k≥2时,T(a)表示非负实数a的整数部分,例如T(2.6)=2,T(0.2)=0.按此方案,第6棵树种植点的坐标应为    ;第2009棵树种植点的坐标应为   

查看答案和解析>>

科目: 来源:2012-2013学年北京市海淀区八一中学高三(上)周练数学试卷(1)(理科)(解析版) 题型:解答题

已知数列{an}是公差不为零的等差数列,且a2=3,又a1,a3,a5成等比数列.
(I)求数列{an}的通项公式;
(II)Sn为数列{an}的前n项和,求使an=Sn成立的所有n的值.

查看答案和解析>>

科目: 来源:2012-2013学年北京市海淀区八一中学高三(上)周练数学试卷(1)(理科)(解析版) 题型:解答题

某工厂生产某种产品,每日的成本C(单位:元)与日产里x(单位:吨)满足函数关系式C=10000+20x,每日的销售额R(单位:元)与日产量x满足函数关系式

已知每日的利润y=R-C,且当x=30时y=-100.
(I)求a的值;
(II)当日产量为多少吨时,毎日的利润可以达到最大,并求出最大值.

查看答案和解析>>

科目: 来源:2012-2013学年北京市海淀区八一中学高三(上)周练数学试卷(1)(理科)(解析版) 题型:解答题

已知函数f(x)=sin2xcos2x-
(I)求f(x)的最小正周期;
(II)求f(x)在区间(0,]上的取值范围.

查看答案和解析>>

科目: 来源:2012-2013学年北京市海淀区八一中学高三(上)周练数学试卷(1)(理科)(解析版) 题型:解答题

已知函数
(Ⅰ)当k=2时,求曲线y=f(x)在点(1,f(1))处的切线方程;
(Ⅱ)求f(x)的单调区间.

查看答案和解析>>

科目: 来源:2012-2013学年浙江省舟山市嵊泗中学高一(上)第二次月考数学试卷(解析版) 题型:选择题

已知集合U={1,2,3,4,5},A={1,2,3},B={2,5},则A∩CUB=( )
A.{2}
B.{2,3}
C.{3}
D.{1,3}

查看答案和解析>>

同步练习册答案