相关习题
 0  83824  83832  83838  83842  83848  83850  83854  83860  83862  83868  83874  83878  83880  83884  83890  83892  83898  83902  83904  83908  83910  83914  83916  83918  83919  83920  83922  83923  83924  83926  83928  83932  83934  83938  83940  83944  83950  83952  83958  83962  83964  83968  83974  83980  83982  83988  83992  83994  84000  84004  84010  84018  266669 

科目: 来源:2012-2013学年广东省云浮市新兴一中高三(上)第五次月考数学试卷(理科)(解析版) 题型:选择题

若变量x,y满足约束条件则z=2x+y的最大值为( )
A.1
B.2
C.3
D.4

查看答案和解析>>

科目: 来源:2012-2013学年广东省云浮市新兴一中高三(上)第五次月考数学试卷(理科)(解析版) 题型:选择题

定义一种运算(a,b)*(c,d)=ad-bc,若函数,x是方程f(x)=0的解,且0<x1<x,则f(x1)的值( )
A.恒为正值
B.等于0
C.恒为负值
D.不大于0

查看答案和解析>>

科目: 来源:2012-2013学年广东省云浮市新兴一中高三(上)第五次月考数学试卷(理科)(解析版) 题型:填空题

函数y=的定义域为   

查看答案和解析>>

科目: 来源:2012-2013学年广东省云浮市新兴一中高三(上)第五次月考数学试卷(理科)(解析版) 题型:填空题

△ABC中,,则=   

查看答案和解析>>

科目: 来源:2012-2013学年广东省云浮市新兴一中高三(上)第五次月考数学试卷(理科)(解析版) 题型:填空题

定义新运算为a?b=,则2?(3?4)的值是   

查看答案和解析>>

科目: 来源:2012-2013学年广东省云浮市新兴一中高三(上)第五次月考数学试卷(理科)(解析版) 题型:填空题

若直线(t为参数)与直线4x+ky=1垂直,则常数k=   

查看答案和解析>>

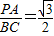
科目: 来源:2012-2013学年广东省云浮市新兴一中高三(上)第五次月考数学试卷(理科)(解析版) 题型:填空题

(几何证明选讲选做题)如图,PA是圆O的切线,A为切点,PBC是圆O的割线.若,则=   

查看答案和解析>>

科目: 来源:2012-2013学年广东省云浮市新兴一中高三(上)第五次月考数学试卷(理科)(解析版) 题型:解答题

已知函数
(Ⅰ)求函数f(x)的最小正周期和值域;
(Ⅱ)若a为第二象限角,且,求的值.

查看答案和解析>>

科目: 来源:2012-2013学年广东省云浮市新兴一中高三(上)第五次月考数学试卷(理科)(解析版) 题型:解答题

空气质量指数PM2.5(单位:μg/m3)表示每立方米空气中可入肺颗粒物的含量,这个值越高,解代表空气污染越严重:
PM2.5日均浓度0~3535~7575~115115~150150~250>250
空气质量级别一级二级三级四级五级六级
空气质量类别轻度污染中度污染重度污染严重污染
某市2012年3月8日-4月7日(30天)对空气质量指数PM2.5进行检测,获得数据后整理得到如图条形图:
(1)估计该城市一个月内空气质量类别为良的概率;
(2)从空气质量级别为三级和四级的数据中任取2个,求至少有一天空气质量类别为中度污染的概率.

查看答案和解析>>

科目: 来源:2012-2013学年广东省云浮市新兴一中高三(上)第五次月考数学试卷(理科)(解析版) 题型:解答题

直三棱柱ABC-A1B1C1中,AB=A A1,∠CAB=
(Ⅰ)证明:CB1⊥BA1
(Ⅱ)已知AB=2,BC=,求三棱锥C1-ABA1的体积.

查看答案和解析>>

同步练习册答案