相关习题
 0  83848  83856  83862  83866  83872  83874  83878  83884  83886  83892  83898  83902  83904  83908  83914  83916  83922  83926  83928  83932  83934  83938  83940  83942  83943  83944  83946  83947  83948  83950  83952  83956  83958  83962  83964  83968  83974  83976  83982  83986  83988  83992  83998  84004  84006  84012  84016  84018  84024  84028  84034  84042  266669 

科目: 来源:2012-2013学年湖北省黄冈市麻城实验高中高三(上)12月月考数学试卷(解析版) 题型:选择题

设f(n)=(n+(n(n∈Z),则集合{f(n)}中元素的个数为( )
A.1
B.2
C.3
D.无数个

查看答案和解析>>

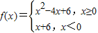
科目: 来源:2012-2013学年湖北省黄冈市麻城实验高中高三(上)12月月考数学试卷(解析版) 题型:选择题

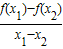
设函数则不等式f(x)>f(1)的解集是( )
A.(-3,1)∪(3,+∞)
B.(-3,1)∪(2,+∞)
C.(-1,1)∪(3,+∞)
D.(-∞,-3)∪(1,3)

查看答案和解析>>

科目: 来源:2012-2013学年湖北省黄冈市麻城实验高中高三(上)12月月考数学试卷(解析版) 题型:选择题

定义在R上的偶函数f(x),对任意x1,x2∈[0,+∞)(x1≠x2),有<0,则( )
A.f(3)<f(-2)<f(1)
B.f(1)<f(-2)<f(3)
C.f(-2)<f(1)<f(3)
D.f(3)<f(1)<f(-2)

查看答案和解析>>

科目: 来源:2012-2013学年湖北省黄冈市麻城实验高中高三(上)12月月考数学试卷(解析版) 题型:选择题

根据表格中的数据,可以判定方程ex-x-2=0的一个根所在的区间为( )
x-1123
ex0.3712.727.3920.09
x+212345

A.(-1,0)
B.(0,1)
C.(1,2)
D.(2,3)

查看答案和解析>>

科目: 来源:2012-2013学年湖北省黄冈市麻城实验高中高三(上)12月月考数学试卷(解析版) 题型:选择题

已知抛物线y2=2px(p>0)上一点M(1,m)(m>0)到其焦点的距离为5,双曲线的左顶点为A,若双曲线的一条渐近线与直线AM平行,则实数a的值是( )
A.
B.
C.
D.

查看答案和解析>>

科目: 来源:2012-2013学年湖北省黄冈市麻城实验高中高三(上)12月月考数学试卷(解析版) 题型:选择题

设数列{an}满足:,记数列{an}的前n项之积为Πn,则Π2011的值为( )
A.2
B.-1
C.
D.1

查看答案和解析>>

科目: 来源:2012-2013学年湖北省黄冈市麻城实验高中高三(上)12月月考数学试卷(解析版) 题型:选择题

定义一种运算:a?b=,已知函数f(x)=2x?(3-x),那么函数y=(x+1)的大致图象是( )
A.
B.
C.
D.

查看答案和解析>>

科目: 来源:2012-2013学年湖北省黄冈市麻城实验高中高三(上)12月月考数学试卷(解析版) 题型:选择题

函数y=tan(x-)的部分图象如图所示,则(-)•=( )

A.-4
B.2
C.-2
D.4

查看答案和解析>>

科目: 来源:2012-2013学年湖北省黄冈市麻城实验高中高三(上)12月月考数学试卷(解析版) 题型:填空题

已知角α的终边上一点的坐标为的最小正值为   

查看答案和解析>>

科目: 来源:2012-2013学年湖北省黄冈市麻城实验高中高三(上)12月月考数学试卷(解析版) 题型:填空题

数列{(-1)n•n}的前2012项的和S2012   

查看答案和解析>>

同步练习册答案