相关习题
 0  83916  83924  83930  83934  83940  83942  83946  83952  83954  83960  83966  83970  83972  83976  83982  83984  83990  83994  83996  84000  84002  84006  84008  84010  84011  84012  84014  84015  84016  84018  84020  84024  84026  84030  84032  84036  84042  84044  84050  84054  84056  84060  84066  84072  84074  84080  84084  84086  84092  84096  84102  84110  266669 

科目: 来源:2012-2013学年山东省德州市跃华学校高三(上)12月月考数学试卷(解析版) 题型:选择题

已知圆的方程为x2+y2-6x-8y=0,设该圆过点(3,5)的最长弦和最短弦分别为AC和BD,则四边形ABCD的面积为( )
A.10
B.20
C.30
D.40

查看答案和解析>>

科目: 来源:2012-2013学年山东省德州市跃华学校高三(上)12月月考数学试卷(解析版) 题型:选择题

把函数y=sinx x∈R 的图象上所有的点向左平移个单位长度,再把所得图象上所有点的横坐标伸长到原来的2倍(纵坐标不变),得到的图象所表示的函数为( )
A. x∈R
B. x∈R
C. x∈R
D. x∈R

查看答案和解析>>

科目: 来源:2012-2013学年山东省德州市跃华学校高三(上)12月月考数学试卷(解析版) 题型:选择题

设x,y满足约束条件,若目标函数z=ax+by(a>0,b>0)的值是最大值为12,则的最小值为( )
A.
B.
C.
D.4

查看答案和解析>>

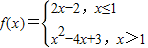
科目: 来源:2012-2013学年山东省德州市跃华学校高三(上)12月月考数学试卷(解析版) 题型:选择题

函数f(x)=的图象是( )
A.
B.
C.
D.

查看答案和解析>>

科目: 来源:2012-2013学年山东省德州市跃华学校高三(上)12月月考数学试卷(解析版) 题型:选择题

已知函数f(x)=sin(2x+φ),其中0<φ<2π,若恒成立,且,则φ等于( )
A.
B.
C.
D.

查看答案和解析>>

科目: 来源:2012-2013学年山东省德州市跃华学校高三(上)12月月考数学试卷(解析版) 题型:选择题

过双曲线-=1(a>0,b>0)的右顶点A作斜率为-1的直线,该直线与双曲线的两条渐近线的交点分别为B、C.若=,则双曲线的离心率是( )
A.
B.
C.
D.

查看答案和解析>>

科目: 来源:2012-2013学年山东省德州市跃华学校高三(上)12月月考数学试卷(解析版) 题型:填空题

计算:=   

查看答案和解析>>

科目: 来源:2012-2013学年山东省德州市跃华学校高三(上)12月月考数学试卷(解析版) 题型:填空题

经过圆x2+2x+y2=0的圆心C,且与直线x+y=0垂直的直线方程是   

查看答案和解析>>

科目: 来源:2012-2013学年山东省德州市跃华学校高三(上)12月月考数学试卷(解析版) 题型:填空题

已知点P在抛物线y2=4x上,那么点P到点Q(2,-1)的距离与点P到抛物线焦点距离之和的最小值为   

查看答案和解析>>

科目: 来源:2012-2013学年山东省德州市跃华学校高三(上)12月月考数学试卷(解析版) 题型:填空题

函数的图象和函数g(x)=ln(x-1)的图象的交点个数是   

查看答案和解析>>

同步练习册答案