相关习题
 0  83931  83939  83945  83949  83955  83957  83961  83967  83969  83975  83981  83985  83987  83991  83997  83999  84005  84009  84011  84015  84017  84021  84023  84025  84026  84027  84029  84030  84031  84033  84035  84039  84041  84045  84047  84051  84057  84059  84065  84069  84071  84075  84081  84087  84089  84095  84099  84101  84107  84111  84117  84125  266669 

科目: 来源:2012-2013学年广东省揭阳市普宁市普师高级中学高三(上)9月月考数学试卷(理科)(解析版) 题型:选择题

函数f(x)=ln(x+1)-的零点所在的大致区间是( )
A.(0,1)
B.(1,2)
C.(2,3)
D.(3,4)

查看答案和解析>>

科目: 来源:2012-2013学年广东省揭阳市普宁市普师高级中学高三(上)9月月考数学试卷(理科)(解析版) 题型:选择题

函数y=ax+b与指数函数y=(x在同一直角坐标系中的图象可能是( )
A.
B.
C.
D.

查看答案和解析>>

科目: 来源:2012-2013学年广东省揭阳市普宁市普师高级中学高三(上)9月月考数学试卷(理科)(解析版) 题型:选择题

已知f1(x)=sinx+cosx,fn+1(x)是fn(x)的导函数,即f2(x)=f1′(x),f3(x)=f2′(x),…,fn+1(x)=fn′(x),n∈N+,则f2013(x)=( )
A.sinx+cos
B.sinx-cos
C.-sinx+cos
D.-sinx-cos

查看答案和解析>>

科目: 来源:2012-2013学年广东省揭阳市普宁市普师高级中学高三(上)9月月考数学试卷(理科)(解析版) 题型:选择题

阅读下面的程序框图,则输出的S=( )

A.14
B.20
C.30
D.55

查看答案和解析>>

科目: 来源:2012-2013学年广东省揭阳市普宁市普师高级中学高三(上)9月月考数学试卷(理科)(解析版) 题型:选择题

如果函数(a>0)没有零点,则a的取值范围为( )
A.(0,1)
B.(0,1)
C.(0,1)∪(2,+∞)
D.∪(2,+∞)

查看答案和解析>>

科目: 来源:2012-2013学年广东省揭阳市普宁市普师高级中学高三(上)9月月考数学试卷(理科)(解析版) 题型:填空题

已知向量=(1,2),=(x,4),若||=2||,则x的值为   

查看答案和解析>>

科目: 来源:2012-2013学年广东省揭阳市普宁市普师高级中学高三(上)9月月考数学试卷(理科)(解析版) 题型:填空题

,则 的值为   

查看答案和解析>>

科目: 来源:2012-2013学年广东省揭阳市普宁市普师高级中学高三(上)9月月考数学试卷(理科)(解析版) 题型:填空题

若关于x的不等式m(x-1)>x2-x的解集为{x|1<x<2},则实数m的值为   

查看答案和解析>>

科目: 来源:2012-2013学年广东省揭阳市普宁市普师高级中学高三(上)9月月考数学试卷(理科)(解析版) 题型:填空题

若函数f(x)=ln(x2+ax+1)是偶函数,则实数a的值为   

查看答案和解析>>

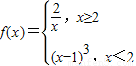
科目: 来源:2012-2013学年广东省揭阳市普宁市普师高级中学高三(上)9月月考数学试卷(理科)(解析版) 题型:填空题

已知函数若关于x 的方程f(x)=k有两个不同的实根,则数k的取值范围是   

查看答案和解析>>

同步练习册答案