相关习题
0 83951 83959 83965 83969 83975 83977 83981 83987 83989 83995 84001 84005 84007 84011 84017 84019 84025 84029 84031 84035 84037 84041 84043 84045 84046 84047 84049 84050 84051 84053 84055 84059 84061 84065 84067 84071 84077 84079 84085 84089 84091 84095 84101 84107 84109 84115 84119 84121 84127 84131 84137 84145 266669
科目:
来源:2012-2013学年山东省临沂市沂南一中高三(上)第二次质量检测数学试卷(理科)(解析版)
题型:解答题
已知函数

(ω>0),直线x=x
1,x=x
2是y=f(x)图象的任意两条对称轴,且|x
1-x
2|的最小值为

.
(I)求f(x)的表达式;
(Ⅱ)将函数f(x)的图象向右平移

个单位后,再将得到的图象上各点的横坐标伸长为原来的2倍,纵坐标不变,得到函数y=g(x)的图象,若关于x的方程g(x)+k=0,在区间

上有且只有一个实数解,求实数k的取值范围.
查看答案和解析>>
科目:
来源:2012-2013学年山东省临沂市沂南一中高三(上)第二次质量检测数学试卷(理科)(解析版)
题型:解答题
如图,四棱锥S-ABCD中,底面ABCD是边长为4的正方形,O是AC与BD的交点,SO⊥平面ABCD,E是侧棱SC的中点,异面直线SA和BC所成角的大小是60°.
(I)求证:直线SA∥平面BDE;
(II)求直线BD与平面SBC所成角的正弦值.

查看答案和解析>>
科目:
来源:2012-2013学年山东省临沂市沂南一中高三(上)第二次质量检测数学试卷(理科)(解析版)
题型:解答题
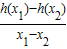
已知函数f(x)=

x
2-3x+(a-1)lnx,g(x)=ax,h(x)=f(x)-g(x)+3x,其中a∈R且a>1.
(I)求函数f(x)的导函数f′(x)的最小值;
(II)当a=3时,求函数h(x)的单调区间及极值;
(III)若对任意的x
1,x
2∈(0,+∞),x
1≠x
2,函数h(x)满足

,求实数a的取值范围.
查看答案和解析>>
科目:
来源:2012-2013学年山东省临沂市沂南一中高三(上)第二次质量检测数学试卷(理科)(解析版)
题型:解答题
已知动圆M过定点F(0,-

),且与直线y=

相切,椭圆N的对称轴为坐标轴,一个焦点为F,点A(1,

)在椭圆N上.
(1)求动圆圆心M的轨迹Γ的方程及椭圆N的方程;
(2)若动直线l与轨迹Γ在x=-4处的切线平行,且直线l与椭圆N交于B,C两点,试求当△ABC面积取到最大值时直线l的方程.
查看答案和解析>>
科目:
来源:2012-2013学年安徽省巢湖市无为中学高三(上)第二次检测数学试卷(理科)(解析版)
题型:选择题
已知集合A={x∈Z|x2≤1},B={x|y=lg(1-x)},C⊆A,则B∩C不可能为( )
A.φ
B.{0}
C.{-1,0}
D.{-1,0,1}
查看答案和解析>>
科目:
来源:2012-2013学年安徽省巢湖市无为中学高三(上)第二次检测数学试卷(理科)(解析版)
题型:选择题
函数f(x)=x3-3x2-9x+4的单调递减区间是( )
A.(-3,1)
B.(-∞,-3)
C.(-1,3)
D.(3,+∞)
查看答案和解析>>
科目:
来源:2012-2013学年安徽省巢湖市无为中学高三(上)第二次检测数学试卷(理科)(解析版)
题型:选择题
曲线y=x
2和曲线y=

所围图形的面积为( )
A.

B.

C.

D.

查看答案和解析>>
科目:
来源:2012-2013学年安徽省巢湖市无为中学高三(上)第二次检测数学试卷(理科)(解析版)
题型:选择题
设a,b∈R,则“a>0,b>0”是“

”的( )
A.充分条件但不是必要条件
B.必要条件但不是充分条件
C.充分必要条件
D.既不充分条件也不必要条件
查看答案和解析>>
科目:
来源:2012-2013学年安徽省巢湖市无为中学高三(上)第二次检测数学试卷(理科)(解析版)
题型:选择题
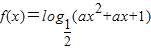
函数

的定义域为R,则a的取值区间为( )
A.(0,4)
B.[0,4)
C.(4,+∞)
D.[4,+∞)
查看答案和解析>>
科目:
来源:2012-2013学年安徽省巢湖市无为中学高三(上)第二次检测数学试卷(理科)(解析版)
题型:选择题
查看答案和解析>>