相关习题
 0  84015  84023  84029  84033  84039  84041  84045  84051  84053  84059  84065  84069  84071  84075  84081  84083  84089  84093  84095  84099  84101  84105  84107  84109  84110  84111  84113  84114  84115  84117  84119  84123  84125  84129  84131  84135  84141  84143  84149  84153  84155  84159  84165  84171  84173  84179  84183  84185  84191  84195  84201  84209  266669 

科目: 来源:2012-2013学年安徽省巢湖市无为县开城中学高三(上)第三次月考数学试卷(理科)(解析版) 题型:选择题

若a>0,b>0,且函数f(x)=4x3-ax2-2bx+2在x=1处有极值,则ab的最大值等于( )
A.2
B.3
C.6
D.9

查看答案和解析>>

科目: 来源:2012-2013学年安徽省巢湖市无为县开城中学高三(上)第三次月考数学试卷(理科)(解析版) 题型:选择题

设tanα,tanβ是方程x2-3x+2=0的两个根,则tan(α+β)的值为( )
A.-3
B.-1
C.1
D.3

查看答案和解析>>

科目: 来源:2012-2013学年安徽省巢湖市无为县开城中学高三(上)第三次月考数学试卷(理科)(解析版) 题型:选择题

设f(x)是定义在R上的奇函数,且当x≥0时,f(x)单调递减,若x1+x2>0,则f(x1)+f(x2)的值( )
A.恒为负值
B.恒等于零
C.恒为正值
D.无法确定正负

查看答案和解析>>

科目: 来源:2012-2013学年安徽省巢湖市无为县开城中学高三(上)第三次月考数学试卷(理科)(解析版) 题型:选择题

,则sinθ=( )
A.
B.
C.
D.

查看答案和解析>>

科目: 来源:2012-2013学年安徽省巢湖市无为县开城中学高三(上)第三次月考数学试卷(理科)(解析版) 题型:选择题

函数(0<a<1)的图象的大致形状是( )
A.
B.
C.
D.

查看答案和解析>>

科目: 来源:2012-2013学年安徽省巢湖市无为县开城中学高三(上)第三次月考数学试卷(理科)(解析版) 题型:选择题

定义在R上的函数f(x)在区间(-∞,2)上是增函数,且f(x+2)的图象关于y轴对称,则( )
A.f(0)>f(3)
B.f(0)=f(3)
C.f(-1)=f(3)
D.f(-1)<f(3)

查看答案和解析>>

科目: 来源:2012-2013学年安徽省巢湖市无为县开城中学高三(上)第三次月考数学试卷(理科)(解析版) 题型:填空题

的展开式中x2项的系数为60,则实数a=   

查看答案和解析>>

科目: 来源:2012-2013学年安徽省巢湖市无为县开城中学高三(上)第三次月考数学试卷(理科)(解析版) 题型:填空题

   

查看答案和解析>>

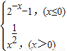
科目: 来源:2012-2013学年安徽省巢湖市无为县开城中学高三(上)第三次月考数学试卷(理科)(解析版) 题型:填空题

函数f(x)=,若f(x)=1,则x的值为   

查看答案和解析>>

科目: 来源:2012-2013学年安徽省巢湖市无为县开城中学高三(上)第三次月考数学试卷(理科)(解析版) 题型:填空题

设0≤x≤2π,且,则x的取值范围是   

查看答案和解析>>

同步练习册答案