相关习题
 0  84019  84027  84033  84037  84043  84045  84049  84055  84057  84063  84069  84073  84075  84079  84085  84087  84093  84097  84099  84103  84105  84109  84111  84113  84114  84115  84117  84118  84119  84121  84123  84127  84129  84133  84135  84139  84145  84147  84153  84157  84159  84163  84169  84175  84177  84183  84187  84189  84195  84199  84205  84213  266669 

科目: 来源:2012-2013学年安徽省凤阳艺荣高考补习学校高三(上)第八次月考数学试卷(文科)(解析版) 题型:选择题

一个空间几何体的三视图如图所示,则该几何体的表面积为( )
A.48
B.32+8
C.48+8
D.80

查看答案和解析>>

科目: 来源:2012-2013学年安徽省凤阳艺荣高考补习学校高三(上)第八次月考数学试卷(文科)(解析版) 题型:选择题

若函数f(x)=x+(x>2),在x=a处取最小值,则a=( )
A.1+
B.1+
C.3
D.4

查看答案和解析>>

科目: 来源:2012-2013学年安徽省凤阳艺荣高考补习学校高三(上)第八次月考数学试卷(文科)(解析版) 题型:选择题

函数f(x)=axn(1-x)2在区间(0.1)上的图象如图所示,则n可能是( )
A.1
B.2
C.3
D.4

查看答案和解析>>

科目: 来源:2012-2013学年安徽省凤阳艺荣高考补习学校高三(上)第八次月考数学试卷(文科)(解析版) 题型:填空题

设f(x)是定义在R上的奇函数,当x≤0时,f(x)=2x2-x.则f(1)=   

查看答案和解析>>

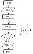
科目: 来源:2012-2013学年安徽省凤阳艺荣高考补习学校高三(上)第八次月考数学试卷(文科)(解析版) 题型:填空题

如果执行如图所示的程序框图,输入x=4.5,则输出的数i=   

查看答案和解析>>

科目: 来源:2012-2013学年安徽省凤阳艺荣高考补习学校高三(上)第八次月考数学试卷(文科)(解析版) 题型:填空题

已知向量满足(+2)•(-)=-6,且||=1,||=2,则的夹角为   

查看答案和解析>>

科目: 来源:2012-2013学年安徽省凤阳艺荣高考补习学校高三(上)第八次月考数学试卷(文科)(解析版) 题型:填空题

已知△ABC的一个内角为120°,并且三边长构成公差为4的等差数列,则△ABC的面积为   

查看答案和解析>>

科目: 来源:2012-2013学年安徽省凤阳艺荣高考补习学校高三(上)第八次月考数学试卷(文科)(解析版) 题型:填空题

设f(x)=asin2x+bcos2x,其中a,b∈R,ab≠0.若对一切x∈R恒成立,则


③f(x)既不是奇函数也不是偶函数;
④f(x)的单调递增区间是
⑤存在经过点(a,b)的直线与函数f(x)的图象不相交.
以上结论正确的是    (写出所有正确结论的编号).

查看答案和解析>>

科目: 来源:2012-2013学年安徽省凤阳艺荣高考补习学校高三(上)第八次月考数学试卷(文科)(解析版) 题型:解答题

已知函数f(x)=sin2ωx+sinωxsin(ωx+)(ω>0)的最小正周期为π.
(1)求ω的值;
(2)求函数f(x)在区间[0,]上的取值范围.

查看答案和解析>>

科目: 来源:2012-2013学年安徽省凤阳艺荣高考补习学校高三(上)第八次月考数学试卷(文科)(解析版) 题型:解答题

等比数列{an}的各项均为正数,且2a1+3a2=1,a32=9a2a6
(Ⅰ)求数列{an}的通项公式;
(Ⅱ)设bn=log3a1+log3a2+…+log3an,求数列{}的前n项和.

查看答案和解析>>

同步练习册答案