相关习题
0 84058 84066 84072 84076 84082 84084 84088 84094 84096 84102 84108 84112 84114 84118 84124 84126 84132 84136 84138 84142 84144 84148 84150 84152 84153 84154 84156 84157 84158 84160 84162 84166 84168 84172 84174 84178 84184 84186 84192 84196 84198 84202 84208 84214 84216 84222 84226 84228 84234 84238 84244 84252 266669
科目:
来源:2012-2013学年河南省郑州四中高三(上)12月调研数学试卷(文科)(解析版)
题型:填空题
如图,给出一个算法的伪代码,已知输出值为3,则输入值x=
.

查看答案和解析>>
科目:
来源:2012-2013学年河南省郑州四中高三(上)12月调研数学试卷(文科)(解析版)
题型:填空题
查看答案和解析>>
科目:
来源:2012-2013学年河南省郑州四中高三(上)12月调研数学试卷(文科)(解析版)
题型:填空题
设f(x)=x-4tanx+2,x∈[-1,1],则关于a的不等式f(a2-1)+f(1-a)>4的解集为 .
查看答案和解析>>
科目:
来源:2012-2013学年河南省郑州四中高三(上)12月调研数学试卷(文科)(解析版)
题型:解答题
已知函数

.
(I)求函数f(x)在区间[0,

]上的最大值和最小值;
(Ⅱ)若

的值.
查看答案和解析>>
科目:
来源:2012-2013学年河南省郑州四中高三(上)12月调研数学试卷(文科)(解析版)
题型:解答题
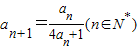
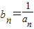
已知数列{a
n}的首项a
1=1,且满足

.
(I)设

,求证:数列{b
n}是等差数列,并求数列{a
n}的通项公式;
(II)设

,求数列{c
n}的前n项和S
n.
查看答案和解析>>
科目:
来源:2012-2013学年河南省郑州四中高三(上)12月调研数学试卷(文科)(解析版)
题型:解答题
如图,四棱锥P-ABCD的底面是边长为1的正方形,侧棱PA⊥底面ABCD,且PA=2,E是侧棱PA上的动点.
(1)求四棱锥P-ABCD的体积;
(2)如果E是PA的中点,求证:PC∥平面BDE;
(3)是否不论点E在侧棱PA的任何位置,都有BD⊥CE?证明你的结论.

查看答案和解析>>
科目:
来源:2012-2013学年河南省郑州四中高三(上)12月调研数学试卷(文科)(解析版)
题型:解答题

某高校在2010年的自主招生考试中随机抽取了100名学生的笔试成绩,按成绩分组:第一组[160,165),第二组[165,170),第三组[170,175),第四组[175,180),第五组[180,185)得到的频率分布直方图如图所示,
(1)求第三、四、五组的频率;
(2)为了以选拔出最优秀的学生,学校决定在笔试成绩高的第三、四、五组中用分层抽样抽取6名学生进入第二轮面试,求第三、四、五组每组各抽取多少名学生进入第二轮面试.
(3)在(2)的前提下,学校决定在这6名学生中随机抽取2名学生接受甲考官的面试,求第四组至少有一名学生被甲考官面试的概率.
查看答案和解析>>
科目:
来源:2012-2013学年河南省郑州四中高三(上)12月调研数学试卷(文科)(解析版)
题型:解答题
已知函数f(x)=

.
(Ⅰ)当a=1时,求f(x)的单调区间;
(Ⅱ)若对任意t∈[

,2],f(t)>t恒成立,求实数a的取值范围.
查看答案和解析>>
科目:
来源:2012-2013学年河南省郑州四中高三(上)12月调研数学试卷(文科)(解析版)
题型:解答题

选修4-1:几何证明选讲
如图,直线AB经过圆O上的点C,并且OA=OB,CA=CB,圆O交直线OB于E,D,连接EC,CD,若tan∠CED=

,圆O的半径为3,求OA的长.
查看答案和解析>>
科目:
来源:2012-2013学年河南省郑州四中高三(上)12月调研数学试卷(文科)(解析版)
题型:解答题
选修4-4:坐标系与参数方程
在直角坐标系xoy中,圆C的参数方程为

以O为极点,x轴的非负半轴为极轴,并取相同的长度单位建立极坐标系,直线l的极坐标方程

.
(I)求圆心的极坐标.
(II)若圆C上点到直线l的最大距离为3,求r的值.
查看答案和解析>>