相关习题
 0  84071  84079  84085  84089  84095  84097  84101  84107  84109  84115  84121  84125  84127  84131  84137  84139  84145  84149  84151  84155  84157  84161  84163  84165  84166  84167  84169  84170  84171  84173  84175  84179  84181  84185  84187  84191  84197  84199  84205  84209  84211  84215  84221  84227  84229  84235  84239  84241  84247  84251  84257  84265  266669 

科目: 来源:2012-2013学年福建省龙岩市武平县十方中学高三(上)第一次月考数学试卷(理科)(解析版) 题型:选择题

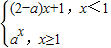
已知f(x)=是R上的增函数,那么a的取值范围是( )
A.(1,2)
B.
C.
D.

查看答案和解析>>

科目: 来源:2012-2013学年福建省龙岩市武平县十方中学高三(上)第一次月考数学试卷(理科)(解析版) 题型:填空题

已知f(x)=,则f(x)>1的解集为   

查看答案和解析>>

科目: 来源:2012-2013学年福建省龙岩市武平县十方中学高三(上)第一次月考数学试卷(理科)(解析版) 题型:填空题

某班共30人,其中15人喜爱篮球运动,10人喜爱乒乓球运动,8人对这两项运动都不喜爱,则喜爱篮球运动但不喜爱乒乓球运动的人数为   

查看答案和解析>>

科目: 来源:2012-2013学年福建省龙岩市武平县十方中学高三(上)第一次月考数学试卷(理科)(解析版) 题型:填空题

已知集合A={x|1≤x≤2},B={x|x>a},则能使 A⊆B 成立的实数a的取值范围是   

查看答案和解析>>

科目: 来源:2012-2013学年福建省龙岩市武平县十方中学高三(上)第一次月考数学试卷(理科)(解析版) 题型:填空题

若函数f(x)定义域为R且f(x)=ex+x2-x+sinx,则曲线y=f(x)在点(0,f(0))处的切线方程是   

查看答案和解析>>

科目: 来源:2012-2013学年福建省龙岩市武平县十方中学高三(上)第一次月考数学试卷(理科)(解析版) 题型:填空题

有下列几个命题:
①函数y=2x2+x+1在(0,+∞)上不是增函数;②函数y=在(-∞,-1)∪(-1,+∞)上是减函数;③函数y=的单调区间是[-2,+∞);④已知f(x)在R上是增函数,若a+b>0,则有f(a)+f(b)>f(-a)+f(-b).其中正确命题的序号是   

查看答案和解析>>

科目: 来源:2012-2013学年福建省龙岩市武平县十方中学高三(上)第一次月考数学试卷(理科)(解析版) 题型:解答题

记函数f(x)=lg(x2-x-2)的定义域为集合A,函数的定义域为集合B.
(1)求A∩B和A∪B;
(2)若C={x|4x+p<0},C⊆A,求实数p的取值范围.

查看答案和解析>>

科目: 来源:2012-2013学年福建省龙岩市武平县十方中学高三(上)第一次月考数学试卷(理科)(解析版) 题型:解答题

已知p:方程x2+mx+1=0有两个不等的负实根,q:方程4x2+4(m-2)x+1=0无实根.若p或q为真,p且q为假.求实数m的取值范围.

查看答案和解析>>

科目: 来源:2012-2013学年福建省龙岩市武平县十方中学高三(上)第一次月考数学试卷(理科)(解析版) 题型:解答题

已知函数f(x)在(0,+∞)上满足f(xy)=f(x)+f(y),且f(x)在定义域内是减函数.
(1)求f(1)的值;
(2)若f(2a-3)<0,试确定a的取值范围.

查看答案和解析>>

科目: 来源:2012-2013学年福建省龙岩市武平县十方中学高三(上)第一次月考数学试卷(理科)(解析版) 题型:解答题

f(x)是定义在[-2,2]上的偶函数,且f(x)在[0,2]上单调递减,若f(1-m)<f(m)成立,求实数m的取值范围.

查看答案和解析>>

同步练习册答案