相关习题
 0  84076  84084  84090  84094  84100  84102  84106  84112  84114  84120  84126  84130  84132  84136  84142  84144  84150  84154  84156  84160  84162  84166  84168  84170  84171  84172  84174  84175  84176  84178  84180  84184  84186  84190  84192  84196  84202  84204  84210  84214  84216  84220  84226  84232  84234  84240  84244  84246  84252  84256  84262  84270  266669 

科目: 来源:2012-2013学年甘肃省张掖二中高三(上)11月月考数学试卷(文科)(解析版) 题型:选择题

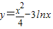
已知曲线的一条切线的斜率为,则切点的横坐标为( )
A.3
B.2
C.1
D.

查看答案和解析>>

科目: 来源:2012-2013学年甘肃省张掖二中高三(上)11月月考数学试卷(文科)(解析版) 题型:选择题

在△ABC中,角ABC的对边分别为a、b、c,若,则角B的值为( )
A.
B.
C.
D.

查看答案和解析>>

科目: 来源:2012-2013学年甘肃省张掖二中高三(上)11月月考数学试卷(文科)(解析版) 题型:选择题

已知向量的最小值为( )
A.
B.6
C.12
D.

查看答案和解析>>

科目: 来源:2012-2013学年甘肃省张掖二中高三(上)11月月考数学试卷(文科)(解析版) 题型:选择题

已知函数f(x)=2sin(ωx+φ)的图象如图所示,则f()=( )

A.0
B.-1
C.-2
D.-

查看答案和解析>>

科目: 来源:2012-2013学年甘肃省张掖二中高三(上)11月月考数学试卷(文科)(解析版) 题型:选择题

已知双曲线的一条渐近线方程是,它的一个焦点在抛物线y2=24x的准线上,则双曲线的方程为( )
A.
B.
C.
D.

查看答案和解析>>

科目: 来源:2012-2013学年甘肃省张掖二中高三(上)11月月考数学试卷(文科)(解析版) 题型:选择题

已知f(x)、g(x)都是定义在R上的函数,g(x)≠0,,且f′(x)g(x)>f(x)g′(x),(a>0,且a≠1),.若数列的前n项和大于62,则n的最小值为( )
A.6
B.7
C.8
D.9

查看答案和解析>>

科目: 来源:2012-2013学年甘肃省张掖二中高三(上)11月月考数学试卷(文科)(解析版) 题型:填空题

函数f(x)=sinx+cosx在区间[-]上的最大值是   

查看答案和解析>>

科目: 来源:2012-2013学年甘肃省张掖二中高三(上)11月月考数学试卷(文科)(解析版) 题型:填空题

已知实数的最小值为   

查看答案和解析>>

科目: 来源:2012-2013学年甘肃省张掖二中高三(上)11月月考数学试卷(文科)(解析版) 题型:填空题

已知球O的体积为,平面α截球O的球面所得圆的半径为1,则球心O到平面α的距离为   

查看答案和解析>>

科目: 来源:2012-2013学年甘肃省张掖二中高三(上)11月月考数学试卷(文科)(解析版) 题型:填空题

已知f(x)是定义在R上的偶函数,f(0)=1,g(x)是定义在R上的奇函数,且g(x)=f(x-1),则f(2011)+f(2012)+f(2013)=   

查看答案和解析>>

同步练习册答案