相关习题
 0  84080  84088  84094  84098  84104  84106  84110  84116  84118  84124  84130  84134  84136  84140  84146  84148  84154  84158  84160  84164  84166  84170  84172  84174  84175  84176  84178  84179  84180  84182  84184  84188  84190  84194  84196  84200  84206  84208  84214  84218  84220  84224  84230  84236  84238  84244  84248  84250  84256  84260  84266  84274  266669 

科目: 来源:《函数的应用》2012年单元测试卷(南宁外国语学校)(解析版) 题型:填空题

方程2-x+x2=3的实数解的个数为   

查看答案和解析>>

科目: 来源:《函数的应用》2012年单元测试卷(南宁外国语学校)(解析版) 题型:填空题

直线y=1与曲线y=x2-|x|+a有四个交点,则a的取值范围是   

查看答案和解析>>

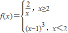
科目: 来源:《函数的应用》2012年单元测试卷(南宁外国语学校)(解析版) 题型:填空题

已知函数若关于x 的方程f(x)=k有两个不同的实根,则数k的取值范围是   

查看答案和解析>>

科目: 来源:《函数的应用》2012年单元测试卷(南宁外国语学校)(解析版) 题型:填空题

已知函数f(x)=logax+x-b(a>0,且a≠1).当2<a<3<b<4时,函数f(x)的零点x∈(n,n+1),n∈N*,则n=   

查看答案和解析>>

科目: 来源:《函数的应用》2012年单元测试卷(南宁外国语学校)(解析版) 题型:解答题

已知a是实数,函数f(x)=2ax2+2x-3-a,如果函数y=f(x)在区间[-1,1]上有零点,求a的取值范围.

查看答案和解析>>

科目: 来源:《函数的应用》2012年单元测试卷(南宁外国语学校)(解析版) 题型:解答题

已知关于x的二次函数f(x)=x2+(2t-1)x+1-2t,
(1)求证:对于任意t∈R,方程f(x)=1必有实数根;
(2)若,求证:方程f(x)=0在区间上各有一个实数根.

查看答案和解析>>

科目: 来源:《函数的应用》2012年单元测试卷(南宁外国语学校)(解析版) 题型:解答题

已知二次函数f(x)满足
(Ⅰ)求函数f(x)的解析式;
(Ⅱ)若方程f(x)=-mx的两根x1和x2满足x1<x2<1,求实数m的取值范围.

查看答案和解析>>

科目: 来源:《函数的应用》2012年单元测试卷(南宁外国语学校)(解析版) 题型:解答题

甲、乙 两地相距100km,汽车从甲地匀速行驶到乙地,速度不超过60km/h,已知汽车每小时的运输成本(元)由可变部分和固定部分组成,可变部分与速度x(km/h)的平方成正比例,比例系数为,固定部分为60元.
(Ⅰ)将全程的运输成本y(元)表示为速度x(km/h)的函数,并指出函数的定义域;
(Ⅱ)判断此函数的单调性,并求当速度为多少时,全程的运输成本最小.

查看答案和解析>>

科目: 来源:《函数的应用》2012年单元测试卷(南宁外国语学校)(解析版) 题型:解答题

某种股票的价格y(元)在一年内与月份x(月)之间的函数关系如下表:
x123456
y10.110.210.410.811.613.216.4
(Ⅰ)在直角坐标系中,通过描点、连线,猜测并确定y与x之间的函数关系式;
(Ⅱ)预测这种股票在8月份时的价格,以及价格为112.4元时的月份.

查看答案和解析>>

科目: 来源:《函数的应用》2012年单元测试卷(南宁外国语学校)(解析版) 题型:解答题

已知某类学习任务的掌握程度y与学习时间t(单位时间)之间的关系为y=f(t)=,这里我们称这一函数关系为“学习曲线”.已知这类学习任务中的某项任务有如下两组数据:t=4,y=50%;t=8,y=80%.
(Ⅰ)试确定该项学习任务的“学习曲线”的关系式f(t);
(Ⅱ)若定义在区间[x1,x2]上的平均学习效率为,问这项学习任务从哪一刻开始的2个单位时间内平均学习效率最高.

查看答案和解析>>

同步练习册答案