相关习题
0 84113 84121 84127 84131 84137 84139 84143 84149 84151 84157 84163 84167 84169 84173 84179 84181 84187 84191 84193 84197 84199 84203 84205 84207 84208 84209 84211 84212 84213 84215 84217 84221 84223 84227 84229 84233 84239 84241 84247 84251 84253 84257 84263 84269 84271 84277 84281 84283 84289 84293 84299 84307 266669
科目:
来源:2012-2013学年广东省佛山一中高三(上)第二次段考数学试卷(文科)(解析版)
题型:填空题
若

,则tanα的值等于
.
查看答案和解析>>
科目:
来源:2012-2013学年广东省佛山一中高三(上)第二次段考数学试卷(文科)(解析版)
题型:填空题
若关于x的不等式m(x-1)>x2-x的解集为{x|1<x<2},则实数m的值为 .
查看答案和解析>>
科目:
来源:2012-2013学年广东省佛山一中高三(上)第二次段考数学试卷(文科)(解析版)
题型:填空题
已知空间四边形ABCD中,AB⊥BC,BC⊥CD,CD⊥AB,且AB=2,BC=

,CD=

,则AD=
.
查看答案和解析>>
科目:
来源:2012-2013学年广东省佛山一中高三(上)第二次段考数学试卷(文科)(解析版)
题型:填空题
将正整数12分解成两个正整数的乘积有1×12,2×6,3×4三种,其中3×4是这三种分解中,两数差的绝对值最小的,我们称3×4为12的最佳分解.当p×q(p≤q且p,q∈N
*)是正整数n的最佳分解时,我们规定函数

,例如

.关于函数f(n)有下列叙述:①

,②

,③

,④

.其中正确的序号为
(填入所有正确的序号).
查看答案和解析>>
科目:
来源:2012-2013学年广东省佛山一中高三(上)第二次段考数学试卷(文科)(解析版)
题型:解答题
如图,渔船甲位于岛屿A的南偏西60°方向的B处,且与岛屿A相距12海里,渔船乙以10海里/小时的速度从岛屿A出发沿正北方向航行,若渔船甲同时从B处出发沿北偏东α的方向追赶渔船乙,刚好用2小时追上.
(1)求渔船甲的速度;
(2)求sinα的值.

查看答案和解析>>
科目:
来源:2012-2013学年广东省佛山一中高三(上)第二次段考数学试卷(文科)(解析版)
题型:解答题
雅山中学采取分层抽样的方法从应届高三学生中按照性别抽出20名学生作为样本,其选报文科理科的情况如下表所示.
(Ⅰ)若在该样本中从报考文科的学生中随机地选出3人召开座谈会,试求3人中既有男生也有女生的概率;
(Ⅱ)用假设检验的方法分析有多大的把握认为雅山中学的高三学生选报文理科与性别有关?
参考公式和数据:

| p(K2≥k) | 0.15 | 0.10 | 0.05 | 0.025 | 0.010 | 0.005 | 0.001 |
| k | 2.07 | 2.71 | 3.84 | 5.02 | 6.64 | 7.88 | 10.83 |
查看答案和解析>>
科目:
来源:2012-2013学年广东省佛山一中高三(上)第二次段考数学试卷(文科)(解析版)
题型:解答题
一个几何体是由圆柱ADD
1A
1和三棱锥E-ABC组合而成,点A、B、C在圆O的圆周上,其正(主)视图、侧(左)视图的面积分别为10和12,如图2所示,其中EA⊥平面ABC,AB⊥AC,AB=AC,AE=2.
(1)求证:AC⊥BD;
(2)求三棱锥E-BCD的体积.

查看答案和解析>>
科目:
来源:2012-2013学年广东省佛山一中高三(上)第二次段考数学试卷(文科)(解析版)
题型:解答题
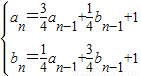
已知数列{a
n},{b
n)满足a
1=2,b
1=1,且

(n≥2),数列{c
n}满足c
n=a
n+b
n(1)求c
1和c
2的值;
(2)求证:数列 {c
n}为等差数列,并求出数列{c
n}的通项公式;
(3)设数列{c
n}的前n和为S
n,求证:

+

+

+…+

<1.
查看答案和解析>>
科目:
来源:2012-2013学年广东省佛山一中高三(上)第二次段考数学试卷(文科)(解析版)
题型:解答题
已知圆C
1:(x-4)
2+y
2=1,圆C
2:x
2+(y-2)
2=1,则C
1,C
2关于直线l对称.
(1)求直线l的方程;
(2)直线l上是否存在点Q,使Q点到A(-2

,0)点的距离减去Q点到B(2

,O)点的距离的差为4,如果存在求出Q点坐标,如果不存在说明理由.
查看答案和解析>>
科目:
来源:2012-2013学年广东省佛山一中高三(上)第二次段考数学试卷(文科)(解析版)
题型:解答题
已知函数f(x)=ex+ax,g(x)=exlnx.(其中e为自然对数的底数),
(Ⅰ)设曲线y=f(x)在x=1处的切线与直线x+(e-1)y=1垂直,求a的值;
(Ⅱ)若对于任意实数x≥0,f(x)>0恒成立,试确定实数a的取值范围;
(Ⅲ)当a=-1时,是否存在实数x∈[1,,e],使曲线C:y=g(x)-f(x)在点x=x
处的切线与y轴垂直?若存在,求出x的值;若不存在,请说明理由.
查看答案和解析>>