相关习题
0 84116 84124 84130 84134 84140 84142 84146 84152 84154 84160 84166 84170 84172 84176 84182 84184 84190 84194 84196 84200 84202 84206 84208 84210 84211 84212 84214 84215 84216 84218 84220 84224 84226 84230 84232 84236 84242 84244 84250 84254 84256 84260 84266 84272 84274 84280 84284 84286 84292 84296 84302 84310 266669
科目:
来源:2012-2013学年湖北省孝感市汉川二中高二(上)期中数学试卷(文科)(解析版)
题型:选择题
如图是调查某地区男女中学生喜欢理科的等高条形图,阴影部分表示喜欢理科的百分比,从图可以看出( )

A.性别与喜欢理科无关
B.女生中喜欢理科的比为80%
C.男生比女生喜欢理科的可能性大些
D.男生不喜欢理科的比为60%
查看答案和解析>>
科目:
来源:2012-2013学年湖北省孝感市汉川二中高二(上)期中数学试卷(文科)(解析版)
题型:选择题
如图,某人向圆内投镖,如果他每次都投入圆内,那么他投中正方形区域的概率为( )

A.

B.

C.

D.

查看答案和解析>>
科目:
来源:2012-2013学年湖北省孝感市汉川二中高二(上)期中数学试卷(文科)(解析版)
题型:选择题
把黑、红、白3张纸牌分给甲、乙、丙三人,则事件“甲分得红牌”与“乙分得红牌”是( )
A.对立事件
B.互斥但不对立事件
C.不可能事件
D.必然事件
查看答案和解析>>
科目:
来源:2012-2013学年湖北省孝感市汉川二中高二(上)期中数学试卷(文科)(解析版)
题型:选择题

200辆汽车经过某一雷达地区,时速频率分布直方图如图所示,则时速超过70km/h的汽车数量为( )
A.2辆
B.20辆
C.10辆
D.70辆
查看答案和解析>>
科目:
来源:2012-2013学年湖北省孝感市汉川二中高二(上)期中数学试卷(文科)(解析版)
题型:选择题
用反证法证明命题“a,b∈N,如果ab可被5整除,那么a,b至少有1个能被5整除.”则假设的内容是( )
A.a,b都能被5整除
B.a,b都不能被5整除
C.a,b不能被5整除
D.a,b有1个不能被5整除
查看答案和解析>>
科目:
来源:2012-2013学年湖北省孝感市汉川二中高二(上)期中数学试卷(文科)(解析版)
题型:选择题
4张卡片上分别写有数字1,2,3,4,从这4张卡片中随机抽取2张,则取出的2张卡片上的数字之和为奇数的概率为( )
A.

B.

C.

D.

查看答案和解析>>
科目:
来源:2012-2013学年湖北省孝感市汉川二中高二(上)期中数学试卷(文科)(解析版)
题型:选择题
天气预报说,在今后的三天中,每一天下雨的概率均为40%.现采用随机模拟试验的方法估计这三天中恰有两天下雨的概率:先利用计算器产生0到9之间取整数值的随机数,用1,2,3,4表示下雨,用5,6,7,8,9,0表示不下雨;再以每三个随机数作为一组,代表这三天的下雨情况.经随机模拟试验产生了如下20组随机数:
907 966 191 925 271 932 812 458 569 683
431 257 393 027 556 488 730 113 537 989
据此估计,这三天中恰有两天下雨的概率近似为( )
A.0.35
B.0.25
C.0.20
D.0.15
查看答案和解析>>
科目:
来源:2012-2013学年湖北省孝感市汉川二中高二(上)期中数学试卷(文科)(解析版)
题型:选择题
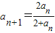
已知数列{a
n},且a
1=1,

(n∈N
*),可归纳猜想出a
n=( )
A.

B.

C.

D.

查看答案和解析>>
科目:
来源:2012-2013学年湖北省孝感市汉川二中高二(上)期中数学试卷(文科)(解析版)
题型:选择题
定义某种运算?,S=a?b的运算原理如图:则式子5?3+2?4=( )

A.6
B.10
C.14
D.16
查看答案和解析>>
科目:
来源:2012-2013学年湖北省孝感市汉川二中高二(上)期中数学试卷(文科)(解析版)
题型:填空题
某牛奶生产线上每隔30分钟抽取一袋进行检验,则该抽样方法为①;从某中学的30名数学爱好者中抽取3人了解学习负担情况,则该抽样方法为②.那么①,②分别为 、 .
查看答案和解析>>