相关习题
 0  84327  84335  84341  84345  84351  84353  84357  84363  84365  84371  84377  84381  84383  84387  84393  84395  84401  84405  84407  84411  84413  84417  84419  84421  84422  84423  84425  84426  84427  84429  84431  84435  84437  84441  84443  84447  84453  84455  84461  84465  84467  84471  84477  84483  84485  84491  84495  84497  84503  84507  84513  84521  266669 

科目: 来源:2012-2013学年湖南省洞口一中高三(上)第五次月考数学试卷(文科)(解析版) 题型:选择题

项数大于3的等差数列{an}中,各项均不为零,公差为1,且.则其通项公式为( )
A.n-3
B.n
C.n+1
D.2n-3

查看答案和解析>>

科目: 来源:2012-2013学年湖南省洞口一中高三(上)第五次月考数学试卷(文科)(解析版) 题型:选择题

某地区高中分三类,A类学校共有学生2000人,B类学校共有学生3000人,C类学校共有学生4000人,若采取分层抽样的方法抽取900人,则A类学校中的学生甲被抽到的概率为( )
A.
B.
C.
D.

查看答案和解析>>

科目: 来源:2012-2013学年湖南省洞口一中高三(上)第五次月考数学试卷(文科)(解析版) 题型:选择题

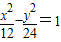
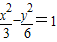
已知双曲线的一个焦点与抛物线y2=12x的焦点重合,且双曲线的离心率等于,则该双曲线的标准方程为( )
A.
B.
C.
D.

查看答案和解析>>

科目: 来源:2012-2013学年湖南省洞口一中高三(上)第五次月考数学试卷(文科)(解析版) 题型:选择题

某四棱锥的三视图如图所示,该四棱锥的表面积是( )

A.32
B.16+16
C.48
D.16+32

查看答案和解析>>

科目: 来源:2012-2013学年湖南省洞口一中高三(上)第五次月考数学试卷(文科)(解析版) 题型:选择题

满足约束条件的目标函数z=ex-y的最大值是( )
A.-6
B.e+l
C.0
D.e-l

查看答案和解析>>

科目: 来源:2012-2013学年湖南省洞口一中高三(上)第五次月考数学试卷(文科)(解析版) 题型:选择题

设f(x)是定义在R上恒不为0的函数,对任意x,y∈R,都有f(x)•f(y)=f(x+y),若a1=,an=f(n)(n为常数),则数列{an}的前n项和Sn的取值范围是( )
A.[,2)
B.[,2]
C.[,1]
D.[,1)

查看答案和解析>>

科目: 来源:2012-2013学年湖南省洞口一中高三(上)第五次月考数学试卷(文科)(解析版) 题型:填空题

复数在复平面中所对应的点到原点的距离是   

查看答案和解析>>

科目: 来源:2012-2013学年湖南省洞口一中高三(上)第五次月考数学试卷(文科)(解析版) 题型:填空题

(坐标系与参数方程选做题)在极坐标系中,点A的坐标为,曲线C的方程为ρ=4sinθ,则OA(O为极点)所在直线被曲线C所截弦的长度为   

查看答案和解析>>

科目: 来源:2012-2013学年湖南省洞口一中高三(上)第五次月考数学试卷(文科)(解析版) 题型:填空题

阅读程序框图,则输出的S等于   

查看答案和解析>>

科目: 来源:2012-2013学年湖南省洞口一中高三(上)第五次月考数学试卷(文科)(解析版) 题型:填空题

△ABC中,三内角A、B、C所对边的长分别为a、b、c,已知B=60°,不等式-x2+6x-8>0的解集为{x|a<x<c},则b=   

查看答案和解析>>

同步练习册答案