相关习题
 0  84357  84365  84371  84375  84381  84383  84387  84393  84395  84401  84407  84411  84413  84417  84423  84425  84431  84435  84437  84441  84443  84447  84449  84451  84452  84453  84455  84456  84457  84459  84461  84465  84467  84471  84473  84477  84483  84485  84491  84495  84497  84501  84507  84513  84515  84521  84525  84527  84533  84537  84543  84551  266669 

科目: 来源:2012-2013学年安徽省安庆市潜山中学高一(上)期中数学试卷(解析版) 题型:选择题

已知函数,那么f(ln2)的值是( )
A.0
B.-1
C.ln(ln2)
D.1

查看答案和解析>>

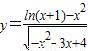
科目: 来源:2012-2013学年安徽省安庆市潜山中学高一(上)期中数学试卷(解析版) 题型:选择题

函数的定义域为( )
A.(-4,-1)
B.(-4,1)
C.(-1,1]
D.(-1,1)

查看答案和解析>>

科目: 来源:2012-2013学年安徽省安庆市潜山中学高一(上)期中数学试卷(解析版) 题型:选择题

已知g(x)=1-2x,f[g(x)]=(x≠0),则f()等于( )
A.15
B.1
C.3
D.30

查看答案和解析>>

科目: 来源:2012-2013学年安徽省安庆市潜山中学高一(上)期中数学试卷(解析版) 题型:选择题

已知f(x)是偶函数,它在[0,+∞)上是减函数,若,则f(lgx)>f(1)的取值范围是( )
A.(,1)
B.(0,)∪(1,+∞)
C.(,10)
D.(0,1)∪(10,+∞)

查看答案和解析>>

科目: 来源:2012-2013学年安徽省安庆市潜山中学高一(上)期中数学试卷(解析版) 题型:选择题

函数y=(x2-3x+2)的单调递减区间是( )
A.(-∞,1)
B.(2,+∞)
C.(-∞,
D.(,+∞)

查看答案和解析>>

科目: 来源:2012-2013学年安徽省安庆市潜山中学高一(上)期中数学试卷(解析版) 题型:选择题

定义在(-∞,+∞)上的任意函数f(x)都可表示成一个奇函数g(x)和一个偶函数h(x)之和.如果f(x)=lg(10x+1),x∈(-∞,+∞),那么( )
A.g(x)=x,h(x)=lg(10x+10x+2)
B.g(x)=[lg(10x+1)+x]h(x)=[lg(10x+1)-x]
C.g(x)=,h(x)=lg(10x+1)-
D.g(x)=-,h(x)=lg(10x+1)+

查看答案和解析>>

科目: 来源:2012-2013学年安徽省安庆市潜山中学高一(上)期中数学试卷(解析版) 题型:填空题

已知f(x)=logax,(a>0且a≠1)满足f(9)=2,则f(3a)=   

查看答案和解析>>

科目: 来源:2012-2013学年安徽省安庆市潜山中学高一(上)期中数学试卷(解析版) 题型:填空题

函数是幂函数,且在x∈(0,+∞)上是减函数,则实数m=   

查看答案和解析>>

科目: 来源:2012-2013学年安徽省安庆市潜山中学高一(上)期中数学试卷(解析版) 题型:填空题

设P和Q是两个集合,定义集合P-Q={x|x∈P,且x∉Q},如果P={x|log2x<1},Q={x|3<3x<9}那么P-Q等于   

查看答案和解析>>

科目: 来源:2012-2013学年安徽省安庆市潜山中学高一(上)期中数学试卷(解析版) 题型:填空题

已知函数f(x)为R上的奇函数,当x≥0时,f(x)=x(x+1).若f(a)=-2,则实数a=   

查看答案和解析>>

同步练习册答案