相关习题
 0  84359  84367  84373  84377  84383  84385  84389  84395  84397  84403  84409  84413  84415  84419  84425  84427  84433  84437  84439  84443  84445  84449  84451  84453  84454  84455  84457  84458  84459  84461  84463  84467  84469  84473  84475  84479  84485  84487  84493  84497  84499  84503  84509  84515  84517  84523  84527  84529  84535  84539  84545  84553  266669 

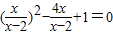
科目: 来源:2012-2013学年浙江省宁波市海曙区效实中学高一(上)期中数学试卷(3-11班)(解析版) 题型:选择题

已知x1,x2是方程的两根,则x1+x2=( )
A.1
B.2
C.3
D.4

查看答案和解析>>

科目: 来源:2012-2013学年浙江省宁波市海曙区效实中学高一(上)期中数学试卷(3-11班)(解析版) 题型:选择题

设函数f(x)的定义域为A,且满足任意x∈A恒有f(x)+f(2-x)=2的函数是( )
A.f(x)=log2
B.f(x)=2x
C.
D.f(x)=x2

查看答案和解析>>

科目: 来源:2012-2013学年浙江省宁波市海曙区效实中学高一(上)期中数学试卷(3-11班)(解析版) 题型:选择题

已知方程有两个不同的实数根x1,x2,则有( )
A.x1x2>1
B.x1x2<0
C.0<x1x2<1
D.x1x2=1

查看答案和解析>>

科目: 来源:2012-2013学年浙江省宁波市海曙区效实中学高一(上)期中数学试卷(3-11班)(解析版) 题型:填空题

函数y=log2(x+1)的定义域A=   

查看答案和解析>>

科目: 来源:2012-2013学年浙江省宁波市海曙区效实中学高一(上)期中数学试卷(3-11班)(解析版) 题型:填空题

设U={2,3,5,7,8},A={2,8},B={3,5,8},则(CUA)∩B=   

查看答案和解析>>

科目: 来源:2012-2013学年浙江省宁波市海曙区效实中学高一(上)期中数学试卷(3-11班)(解析版) 题型:填空题

函数的单调递增区间是   

查看答案和解析>>

科目: 来源:2012-2013学年浙江省宁波市海曙区效实中学高一(上)期中数学试卷(3-11班)(解析版) 题型:填空题

已知f(x)=|ax-6|(a∈Z),若3∈{x|f(x)<2},则{x|f(x)≥2}=   

查看答案和解析>>

科目: 来源:2012-2013学年浙江省宁波市海曙区效实中学高一(上)期中数学试卷(3-11班)(解析版) 题型:填空题

关于x的方程(1-a)x2+2ax+2-3a=0至少有一个正根,则a∈   

查看答案和解析>>

科目: 来源:2012-2013学年浙江省宁波市海曙区效实中学高一(上)期中数学试卷(3-11班)(解析版) 题型:填空题

已知,若f(2012)=3,则=   

查看答案和解析>>

科目: 来源:2012-2013学年浙江省宁波市海曙区效实中学高一(上)期中数学试卷(3-11班)(解析版) 题型:填空题

当x≥3时,不等式(ax-4a+1)(x2-x-2)≥0恒成立,则a的范围是   

查看答案和解析>>

同步练习册答案