相关习题
 0  84380  84388  84394  84398  84404  84406  84410  84416  84418  84424  84430  84434  84436  84440  84446  84448  84454  84458  84460  84464  84466  84470  84472  84474  84475  84476  84478  84479  84480  84482  84484  84488  84490  84494  84496  84500  84506  84508  84514  84518  84520  84524  84530  84536  84538  84544  84548  84550  84556  84560  84566  84574  266669 

科目: 来源:2012-2013学年浙江省温州市龙湾中学高一(上)第一次月考数学试卷(解析版) 题型:填空题

函数的定义域是   

查看答案和解析>>

科目: 来源:2012-2013学年浙江省温州市龙湾中学高一(上)第一次月考数学试卷(解析版) 题型:填空题

设集合P={x|x2=1},Q={x|ax=1},若Q⊆P,则实数a的值所组成的集合是   

查看答案和解析>>

科目: 来源:2012-2013学年浙江省温州市龙湾中学高一(上)第一次月考数学试卷(解析版) 题型:填空题

已知函数f(x)=ax5-bx3+cx-3,f(-3)=7,则f(3)的值为   

查看答案和解析>>

科目: 来源:2012-2013学年浙江省温州市龙湾中学高一(上)第一次月考数学试卷(解析版) 题型:填空题

已知关于x 的方程x2-|x|+a-1=0有四个不等根,则实数a的取值范围是   

查看答案和解析>>

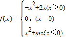
科目: 来源:2012-2013学年浙江省温州市龙湾中学高一(上)第一次月考数学试卷(解析版) 题型:填空题

已知函数的定义域是R,则实数m的取值范围是   

查看答案和解析>>

科目: 来源:2012-2013学年浙江省温州市龙湾中学高一(上)第一次月考数学试卷(解析版) 题型:填空题

函数f(x)取(x-a)2,(x+a)2,(x-2)2中的较大函数的值,其中a为非负实数,f(x)的最小值为g(a),则g(a)的最小值为   

查看答案和解析>>

科目: 来源:2012-2013学年浙江省温州市龙湾中学高一(上)第一次月考数学试卷(解析版) 题型:解答题

已知奇函数
(1)求实数m的值,并在给出的直角坐标系中画出y=f(x)的图象.
(2)若函数f(x)在区间[-1,|a|-2]上单调递增,试确定a的取值范围.

查看答案和解析>>

科目: 来源:2012-2013学年浙江省温州市龙湾中学高一(上)第一次月考数学试卷(解析版) 题型:解答题

已知函数f(x)=
(Ⅰ)求f[f(-2)]的值;
(Ⅱ)求f(a2+1)(a∈R)的值;
(Ⅲ)当-4≤x<3时,求函数f(x)的值域.

查看答案和解析>>

科目: 来源:2012-2013学年浙江省温州市龙湾中学高一(上)第一次月考数学试卷(解析版) 题型:解答题

汽车和自行车分别从A地和C地同时开出,如图,各沿箭头方向(两方向垂直)匀速前进,汽车和自行车的速度分别是10米/秒和5米/秒,已知AC=100米.(汽车开到C地即停止)
(1)经过t秒后,汽车到达B处,自行车到达D处,设B、D间距离为y,写出y关于t的函数关系式,并求出定义域.
(2)经过多少时间后,汽车和自行车之间的距离最短?最短距离是多少?

查看答案和解析>>

科目: 来源:2012-2013学年浙江省温州市龙湾中学高一(上)第一次月考数学试卷(解析版) 题型:解答题

已知函数f(x)定义域为[-1,1],若对于任意的x,y∈[-1,1],都有f(x+y)=f(x)+f(y),且x>0时,有f(x)>0.
(1)证明:f(x)为奇函数;
(2)证明:f(x)在[-1,1]上为单调递增函数;
(3)设f(1)=1,若f(x)<m2-2am+1,对所有x∈[-1,1],a∈[-1,1]恒成立,求实数m的取值范围.

查看答案和解析>>

同步练习册答案