相关习题
 0  84384  84392  84398  84402  84408  84410  84414  84420  84422  84428  84434  84438  84440  84444  84450  84452  84458  84462  84464  84468  84470  84474  84476  84478  84479  84480  84482  84483  84484  84486  84488  84492  84494  84498  84500  84504  84510  84512  84518  84522  84524  84528  84534  84540  84542  84548  84552  84554  84560  84564  84570  84578  266669 

科目: 来源:2012-2013学年河南省驻马店市正阳高中高一(上)期中数学试卷(解析版) 题型:填空题

幂函数y=f(x)的图象经过点(-2,),则满足f(x)=27的x的值是   

查看答案和解析>>

科目: 来源:2012-2013学年河南省驻马店市正阳高中高一(上)期中数学试卷(解析版) 题型:填空题

计算=   

查看答案和解析>>

科目: 来源:2012-2013学年河南省驻马店市正阳高中高一(上)期中数学试卷(解析版) 题型:解答题

已知A={x|a-1≤x≤a+3},B={x|x<-2或x>5}
(1)若A∩B=∅,求a的取值范围;
(2)若A∪B=B,求a的取值范围.

查看答案和解析>>

科目: 来源:2012-2013学年河南省驻马店市正阳高中高一(上)期中数学试卷(解析版) 题型:解答题

已知函数
(1)画出函数的图象;
(2)求函数的单调区间;
(3)求函数在区间[-2,3]上的最大值与最小值.

查看答案和解析>>

科目: 来源:2012-2013学年河南省驻马店市正阳高中高一(上)期中数学试卷(解析版) 题型:解答题

(1)如果定义在区间(-1,0)的函数f(x)=log3a(x+1)满足f(x)<0,求a的取值范围;
(2)解方程:

查看答案和解析>>

科目: 来源:2012-2013学年河南省驻马店市正阳高中高一(上)期中数学试卷(解析版) 题型:解答题

已知二次函数f(x)的顶点坐标为(1,1),且f(0)=3,
(1)求f(x)的解析式;
(2)若f(x)在区间[a,a+1]上单调,求实数a的取值范围.

查看答案和解析>>

科目: 来源:2012-2013学年河南省驻马店市正阳高中高一(上)期中数学试卷(解析版) 题型:解答题

已知函数
(1)若,求函数f(x)最大值和最小值;
(2)若方程f(x)+m=0有两根α,β,试求α•β的值.

查看答案和解析>>

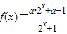
科目: 来源:2012-2013学年河南省驻马店市正阳高中高一(上)期中数学试卷(解析版) 题型:解答题

已知函数
(1)确定a的值,使f(x)为奇函数;
(2)当f(x)为奇函数时,求f(x)的值域.

查看答案和解析>>

科目: 来源:2012-2013学年湖南省衡阳八中高二(上)期中数学试卷(文科)(解析版) 题型:选择题

已知椭圆的方程为,则该椭圆的长半轴长为( )
A.3
B.2
C.6
D.4

查看答案和解析>>

科目: 来源:2012-2013学年湖南省衡阳八中高二(上)期中数学试卷(文科)(解析版) 题型:选择题

抛物线y2=-4x的准线方程是( )
A.y=1
B.y=-1
C.x=1
D.x=-1

查看答案和解析>>

同步练习册答案