相关习题
 0  84406  84414  84420  84424  84430  84432  84436  84442  84444  84450  84456  84460  84462  84466  84472  84474  84480  84484  84486  84490  84492  84496  84498  84500  84501  84502  84504  84505  84506  84508  84510  84514  84516  84520  84522  84526  84532  84534  84540  84544  84546  84550  84556  84562  84564  84570  84574  84576  84582  84586  84592  84600  266669 

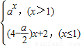
科目: 来源:2012-2013学年四川省泸州市古蔺中学高一(上)期中数学试卷(解析版) 题型:选择题

f(x)=是R上的单调递增函数,则实数a的取值范围为( )
A.(1,+∞)
B.[4,8)
C.(4,8)
D.(1,8)

查看答案和解析>>

科目: 来源:2012-2013学年四川省泸州市古蔺中学高一(上)期中数学试卷(解析版) 题型:填空题

函数f(x)=lg(3-x)的定义域为   

查看答案和解析>>

科目: 来源:2012-2013学年四川省泸州市古蔺中学高一(上)期中数学试卷(解析版) 题型:填空题

幂函数f(x)的图象过点,则f(x)的解析式是   

查看答案和解析>>

科目: 来源:2012-2013学年四川省泸州市古蔺中学高一(上)期中数学试卷(解析版) 题型:填空题

设定义在(-∞,+∞)上的奇函数,且x>0时,有f(x)=x2+1,则f(-2)=   

查看答案和解析>>

科目: 来源:2012-2013学年四川省泸州市古蔺中学高一(上)期中数学试卷(解析版) 题型:填空题

有下列叙述:
①集合中只有四个元素;
②设a>0,将表示成分数指数幂,其结果是
③已知函数,则
④设集合,函数,若x∈A,且f[f(x)]∈A,则x的取值范围是
其中所有正确叙述的序号是   

查看答案和解析>>

科目: 来源:2012-2013学年四川省泸州市古蔺中学高一(上)期中数学试卷(解析版) 题型:解答题

计算:
(1)
(2)

查看答案和解析>>

科目: 来源:2012-2013学年四川省泸州市古蔺中学高一(上)期中数学试卷(解析版) 题型:解答题

已知全集为U=R,A={x|-3≤x≤4},B={x|-1<x<5}.
(1)求A∪B,A∩B;                
(2)求(∁UA)∩B.

查看答案和解析>>

科目: 来源:2012-2013学年四川省泸州市古蔺中学高一(上)期中数学试卷(解析版) 题型:解答题

已知函数f(x)=x+
(1)求函数f(x)的定义域.
(2)判断函数的奇偶性,并加以证明;
(3)用定义证明f(x)在(0,1)上是减函数.

查看答案和解析>>

科目: 来源:2012-2013学年四川省泸州市古蔺中学高一(上)期中数学试卷(解析版) 题型:解答题

(1)已知log0.72x<log0.7(x-1),求x的取值范围.
(2)已知lg2=a,lg3=b,试用a,b表示log215.

查看答案和解析>>

科目: 来源:2012-2013学年四川省泸州市古蔺中学高一(上)期中数学试卷(解析版) 题型:解答题

商店出售茶壶和茶杯,茶壶单价为每个20元,茶杯单价为每个5元,该店推出两种促销优惠办法:
(1)买1个茶壶赠送1个茶杯;(2)按总价打9.2折付款.
某顾客需要购买茶壶4个,茶杯若干个,(不少于4个),若以购买茶杯数为x个,付款数为y(元),试分别建立两种优惠办法中y与x之间的函数关系式,并讨论该顾客买同样多的茶杯时,两种办法哪一种更省钱?

查看答案和解析>>

同步练习册答案