相关习题
 0  84459  84467  84473  84477  84483  84485  84489  84495  84497  84503  84509  84513  84515  84519  84525  84527  84533  84537  84539  84543  84545  84549  84551  84553  84554  84555  84557  84558  84559  84561  84563  84567  84569  84573  84575  84579  84585  84587  84593  84597  84599  84603  84609  84615  84617  84623  84627  84629  84635  84639  84645  84653  266669 

科目: 来源:2012-2013学年湖南省郴州三中高二(上)期中数学试卷(解析版) 题型:选择题

已知数列{an}满足a1=2,an+1-an+1=0(n∈N+),则此数列的通项an等于( )
A.n2+1
B.n+1
C.1-n
D.3-n

查看答案和解析>>

科目: 来源:2012-2013学年湖南省郴州三中高二(上)期中数学试卷(解析版) 题型:选择题

已知x,y∈R,则“x=y”是“|x|=|y|”的( )
A.充分不必要条件
B.必要不充分条件
C.充要条件
D.既不充分也不必要条件

查看答案和解析>>

科目: 来源:2012-2013学年湖南省郴州三中高二(上)期中数学试卷(解析版) 题型:选择题

命题“?x>0,都有x2-x≤0”的否定是( )
A.?x>0,使得x2-x≤0
B.?x>0,使得x2-x>0
C.?x>0,都有x2-x>0
D.?x≤0,都有x2-x>0

查看答案和解析>>

科目: 来源:2012-2013学年湖南省郴州三中高二(上)期中数学试卷(解析版) 题型:选择题

若实数a,b满足0<a<b,且a+b=1.则下列四个数中最大的是( )
A.
B.a2+b2
C.2ab
D.a

查看答案和解析>>

科目: 来源:2012-2013学年湖南省郴州三中高二(上)期中数学试卷(解析版) 题型:选择题

已知等差数列{an}的前13项之和为39,则a6+a7+a8等于( )
A.6
B.9
C.12
D.18

查看答案和解析>>

科目: 来源:2012-2013学年湖南省郴州三中高二(上)期中数学试卷(解析版) 题型:选择题

设a、b∈(0,+∞),若a+b=1,则 +  的最小值等于( )
A.1
B.3
C.2
D.4

查看答案和解析>>

科目: 来源:2012-2013学年湖南省郴州三中高二(上)期中数学试卷(解析版) 题型:选择题

不等式组表示的平面区域是( )
A.
B.
C.
D.

查看答案和解析>>

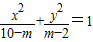
科目: 来源:2012-2013学年湖南省郴州三中高二(上)期中数学试卷(解析版) 题型:选择题

已知椭圆,长轴在y轴上,若焦距为4,则m等于( )
A.4
B.5
C.7
D.8

查看答案和解析>>

科目: 来源:2012-2013学年湖南省郴州三中高二(上)期中数学试卷(解析版) 题型:选择题

在△ABC中,内角A、B、C的对边分别为a、b、c,若a=2bcosC,则△ABC一定是( )
A.直角三角形
B.等边三角形
C.等腰直角三角形
D.等腰三角形

查看答案和解析>>

科目: 来源:2012-2013学年湖南省郴州三中高二(上)期中数学试卷(解析版) 题型:解答题

已知数列{an}满足a1=2,(n∈N*),则a3的值为______.

查看答案和解析>>

同步练习册答案