相关习题
0 84462 84470 84476 84480 84486 84488 84492 84498 84500 84506 84512 84516 84518 84522 84528 84530 84536 84540 84542 84546 84548 84552 84554 84556 84557 84558 84560 84561 84562 84564 84566 84570 84572 84576 84578 84582 84588 84590 84596 84600 84602 84606 84612 84618 84620 84626 84630 84632 84638 84642 84648 84656 266669
科目:
来源:2012-2013学年湖北省襄阳市襄州、枣阳、宜城、曾都一中联考高一(上)期中数学试卷(解析版)
题型:填空题
设f(x)是R上的函数,且f(-x)=-f(x),当x∈[0,+∞)时,f(x)=x(1+

),那么当x∈(-∞,0)时,f(x)=
.
查看答案和解析>>
科目:
来源:2012-2013学年湖北省襄阳市襄州、枣阳、宜城、曾都一中联考高一(上)期中数学试卷(解析版)
题型:填空题
给出下列四个命题:
①函数y=|x|与函数

表示同一个函数;
②奇函数的图象一定通过直角坐标系的原点;
③函数y=3x
2+1的图象可由y=3x
2的图象向上平移1个单位得到;
④若函数f(x)的定义域为[0,2],则函数f(2x)的定义域为[0,4];
⑤设函数f(x)是在区间[a,b]上图象连续的函数,且f(a)•f(b)<0,则方程f(x)=0在区间[a,b]上至少有一实根;
其中正确命题的序号是
.(填上所有正确命题的序号)
查看答案和解析>>
科目:
来源:2012-2013学年湖北省襄阳市襄州、枣阳、宜城、曾都一中联考高一(上)期中数学试卷(解析版)
题型:解答题
已知全集U={x|x≤10,x∈N},A={0,2,4,6,8},B={x|x∈U,x<5}
(1)求M={x|x∈A且x∉B};
(2)求(CUA)∩(CUB).
查看答案和解析>>
科目:
来源:2012-2013学年湖北省襄阳市襄州、枣阳、宜城、曾都一中联考高一(上)期中数学试卷(解析版)
题型:解答题
(1)已知f(x)=a
x+a
-x,若f(1)=3,,求f(2)的值.
(2)设函数

,且f(1)=1,f(2)=log
312.求a,b的值.
查看答案和解析>>
科目:
来源:2012-2013学年湖北省襄阳市襄州、枣阳、宜城、曾都一中联考高一(上)期中数学试卷(解析版)
题型:解答题
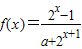
已知函数

其中b,c为常数且满足f(1)=5,f(2)=6.
(1)求b,c的值;
(2)证明:函数f(x)在区间(0,1)上是减函数;
(3)求函数

的值域.
查看答案和解析>>
科目:
来源:2012-2013学年湖北省襄阳市襄州、枣阳、宜城、曾都一中联考高一(上)期中数学试卷(解析版)
题型:解答题
已知二次函数f(x)满足f(0)=2和f(x+1)-f(x)=2x-1对任意实数x都成立.
(1)求函数f(x)的解析式;
(2)当t∈[-1,3]时,求y=f(2t)的值域.
查看答案和解析>>
科目:
来源:2012-2013学年湖北省襄阳市襄州、枣阳、宜城、曾都一中联考高一(上)期中数学试卷(解析版)
题型:解答题
某旅游商品生产企业,2011年某商品生产的投入成本为1元/件,出厂价为1.2元/件,年销售量为10000件,因2012年调整黄金周的影响,此企业为适应市场需求,计划提高产品档次,适度增加投入成本.若每件投入成本增加的比例为x(0<x<1),则出厂价相应提高的比例为0.75x,同时预计销售量增加的比例为0.8x.已知利润=(出厂价-投入成本)×年销售量.
(1)2011年该企业的利润是多少?
(2)写出2012年预计的年利润y与投入成本增加的比例x的关系式;
(3)为使2012年的年利润达到最大值,则每件投入成本增加的比例x应是多少?此时最大利润是多少?
查看答案和解析>>
科目:
来源:2012-2013学年湖北省襄阳市襄州、枣阳、宜城、曾都一中联考高一(上)期中数学试卷(解析版)
题型:解答题
已知定义域为R的函数

是奇函数.
(1)求a的值;
(2)求证:f(x)在R上是增函数;
(3)若对任意的t∈R,不等式f(mt
2+1)+f(1-mt)>0恒成立,求实数m的取值范围.
查看答案和解析>>
科目:
来源:2012-2013学年江西省吉安市白鹭洲中学高三(上)期中数学试卷(文科)(解析版)
题型:选择题
设i为虚数单位,则复数

的共轭复数为( )
A.-4-3i
B.-4+3i
C.4+3i
D.4-3i
查看答案和解析>>
科目:
来源:2012-2013学年江西省吉安市白鹭洲中学高三(上)期中数学试卷(文科)(解析版)
题型:选择题
设全集U={(x,y)|x∈R,y∈R},集合M={(x,y)|y≠x},N={(x,y)|y≠-x},则集合P={(x,y)|y2=x2}等于( )
A.(CUM)∩(CUN)
B.(CUM)∪N
C.(CUM)∪(CUN)
D.M∪(CUN)
查看答案和解析>>