相关习题
 0  84474  84482  84488  84492  84498  84500  84504  84510  84512  84518  84524  84528  84530  84534  84540  84542  84548  84552  84554  84558  84560  84564  84566  84568  84569  84570  84572  84573  84574  84576  84578  84582  84584  84588  84590  84594  84600  84602  84608  84612  84614  84618  84624  84630  84632  84638  84642  84644  84650  84654  84660  84668  266669 

科目: 来源:2012-2013学年江苏省苏州五中高一(上)期中数学试卷(解析版) 题型:填空题

已知a是实数,若集合{x|ax=1}是任何集合的子集,则a的值是   

查看答案和解析>>

科目: 来源:2012-2013学年江苏省苏州五中高一(上)期中数学试卷(解析版) 题型:填空题

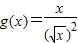
函数f(x)=+的定义域为   

查看答案和解析>>

科目: 来源:2012-2013学年江苏省苏州五中高一(上)期中数学试卷(解析版) 题型:填空题

已知函数f(2x+1)=4x2,则f(5)=   

查看答案和解析>>

科目: 来源:2012-2013学年江苏省苏州五中高一(上)期中数学试卷(解析版) 题型:填空题

设函数f(x)=则f[f(-1)]的值为   

查看答案和解析>>

科目: 来源:2012-2013学年江苏省苏州五中高一(上)期中数学试卷(解析版) 题型:填空题

已知函数f(x)=4x2-kx-8在(5,+∞)上为单调递增函数,则实数k的取值范围是   

查看答案和解析>>

科目: 来源:2012-2013学年江苏省苏州五中高一(上)期中数学试卷(解析版) 题型:填空题

下列各组函数中,表示同一函数的序号是   
①y=x+1和 ;②y=x和 y=1;③f(x)=x2和g(x)=(x+1)2;④和 

查看答案和解析>>

科目: 来源:2012-2013学年江苏省苏州五中高一(上)期中数学试卷(解析版) 题型:填空题

函数f(x)=lgx+x-3在区间(a,b)上有一个零点(a,b为连续整数),则a+b=   

查看答案和解析>>

科目: 来源:2012-2013学年江苏省苏州五中高一(上)期中数学试卷(解析版) 题型:填空题

幂函数的图象过点(4,2),则它的单调递增区间是   

查看答案和解析>>

科目: 来源:2012-2013学年江苏省苏州五中高一(上)期中数学试卷(解析版) 题型:填空题

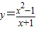
函数y=的单调增区间为   

查看答案和解析>>

科目: 来源:2012-2013学年江苏省苏州五中高一(上)期中数学试卷(解析版) 题型:填空题

若f(x)为R上的奇函数,且在(0,+∞)内是增函数,又f(-3)=0,则(x-1)f(x)<0的解集为   

查看答案和解析>>

同步练习册答案