相关习题
 0  84522  84530  84536  84540  84546  84548  84552  84558  84560  84566  84572  84576  84578  84582  84588  84590  84596  84600  84602  84606  84608  84612  84614  84616  84617  84618  84620  84621  84622  84624  84626  84630  84632  84636  84638  84642  84648  84650  84656  84660  84662  84666  84672  84678  84680  84686  84690  84692  84698  84702  84708  84716  266669 

科目: 来源:2012-2013学年山东省济宁市泗水一中高三(上)12月月考数学试卷(理科)(解析版) 题型:解答题

设函数,其中向量
(1)若函数f(x)=1-,且x,求x;
(2)求函数y=f(x)的单调增区间.

查看答案和解析>>

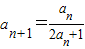
科目: 来源:2012-2013学年山东省济宁市泗水一中高三(上)12月月考数学试卷(理科)(解析版) 题型:解答题

在数列{an}中,a1=1,并且对于任意n∈N*,都有
(1)证明数列{}为等差数列,并求{an}的通项公式;
(2)设数列{anan+1}的前n项和为Tn,求使得的最小正整数n.

查看答案和解析>>

科目: 来源:2012-2013学年山东省济宁市泗水一中高三(上)12月月考数学试卷(理科)(解析版) 题型:解答题

已知圆满足:①截y轴所得弦长为2;②被x轴分成两段圆弧,其弧长的比为3:1;③圆心到直线l:x-2y=0的距离为.求该圆的方程.

查看答案和解析>>

科目: 来源:2012-2013学年山东省济宁市泗水一中高三(上)12月月考数学试卷(理科)(解析版) 题型:解答题

在数列{an}中,a1=1,
(Ⅰ)求{an}的通项公式;
(Ⅱ)令,求数列{bn}的前n项和Sn
(Ⅲ)求数列{an}的前n项和Tn

查看答案和解析>>

科目: 来源:2012-2013学年山东省济宁市泗水一中高三(上)12月月考数学试卷(理科)(解析版) 题型:解答题

已知{an}是等比数列,公比q>1,前n项和为
(1)求数列{an},{bn}的通项公式;
(2)设数列{bnbn+1}的前n项和为Tn,求证

查看答案和解析>>

科目: 来源:2012-2013学年山东省济宁市泗水一中高三(上)12月月考数学试卷(理科)(解析版) 题型:解答题

设函数
(1)求函数f(x)的单调区间;
(2)如果当恒成立,则求实数a的取值范围.

查看答案和解析>>

科目: 来源:2011-2012学年福建省福州八中高二(上)期中数学试卷(理科)(解析版) 题型:选择题

不在2x+3y<6表示的平面区域内的点是( )
A.(0,0)
B.(1,1)
C.(0,2)
D.(2,0)

查看答案和解析>>

科目: 来源:2011-2012学年福建省福州八中高二(上)期中数学试卷(理科)(解析版) 题型:选择题

在△ABC中,若a=2,,A=30°则B为( )
A.60°
B.60°或120°
C.30°
D.30°或150°

查看答案和解析>>

科目: 来源:2011-2012学年福建省福州八中高二(上)期中数学试卷(理科)(解析版) 题型:选择题

若a>b,则下列命题成立的是( )
A.ac>bc
B.
C.
D.ac2≥bc2

查看答案和解析>>

科目: 来源:2011-2012学年福建省福州八中高二(上)期中数学试卷(理科)(解析版) 题型:选择题

若数列{an}的前n项和为Sn=n2+1,则( )
A.an=2n-1
B.an=2n+1
C.
D.

查看答案和解析>>

同步练习册答案