相关习题
 0  84544  84552  84558  84562  84568  84570  84574  84580  84582  84588  84594  84598  84600  84604  84610  84612  84618  84622  84624  84628  84630  84634  84636  84638  84639  84640  84642  84643  84644  84646  84648  84652  84654  84658  84660  84664  84670  84672  84678  84682  84684  84688  84694  84700  84702  84708  84712  84714  84720  84724  84730  84738  266669 

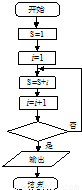
科目: 来源:2012-2013学年黑龙江省大庆市铁人中学高二(上)期中数学试卷(解析版) 题型:选择题

阅读如图的程序框图,若输出的S的值等于16,那么在程序框图中的判断框内应填写的条件是( )
A.i>5
B.i<6
C.i<7
D.i>8

查看答案和解析>>

科目: 来源:2012-2013学年黑龙江省大庆市铁人中学高二(上)期中数学试卷(解析版) 题型:选择题

茎叶图中,甲组数据的中位数是( )
A.31
B.
C.36
D.37

查看答案和解析>>

科目: 来源:2012-2013学年黑龙江省大庆市铁人中学高二(上)期中数学试卷(解析版) 题型:选择题

计算机执行如图的程序段后,输出的结果是( )

A.1,3
B.4,1
C.0,0
D.6,0

查看答案和解析>>

科目: 来源:2012-2013学年黑龙江省大庆市铁人中学高二(上)期中数学试卷(解析版) 题型:选择题

用秦九韶算法计算多项式f(x)=3x6+5x5+6x4+79x3-8x2+35x+12,x=-4时,v3的值为( )
A.-845
B.220
C.-57
D.34

查看答案和解析>>

科目: 来源:2012-2013学年黑龙江省大庆市铁人中学高二(上)期中数学试卷(解析版) 题型:选择题

如图,从双曲线的左焦点F引圆x2+y2=a2的切线,切点为T,延长FT交双曲线右支于P点,若M为线段FP的中点,O为坐标原点,则|MO|-|MT|与b-a的大小关系为( )
A.|MO|-|MT|>b-a
B.|MO|-|MT|<b-a
C.|MO|-|MT|=b-a
D.以上三种可能都有

查看答案和解析>>

科目: 来源:2012-2013学年黑龙江省大庆市铁人中学高二(上)期中数学试卷(解析版) 题型:填空题

2703与1113的最大公约数是   

查看答案和解析>>

科目: 来源:2012-2013学年黑龙江省大庆市铁人中学高二(上)期中数学试卷(解析版) 题型:填空题

1010001011(2)=    (化成7进制的)

查看答案和解析>>

科目: 来源:2012-2013学年黑龙江省大庆市铁人中学高二(上)期中数学试卷(解析版) 题型:填空题

已知F是抛物线y2=x的焦点,A、B是该抛物线上的两点,|AF|+|BF|=3,则线段AB的中点到y轴的距离为   

查看答案和解析>>

科目: 来源:2012-2013学年黑龙江省大庆市铁人中学高二(上)期中数学试卷(解析版) 题型:填空题

有下列四个命题:
①命题“若xy=1,则x,y互为倒数”的逆命题;
②命题“面积相等的三角形全等”的否命题;
③命题“若m>1,则x2-2x+m=0有实根”的逆否命题;
④命题“若A∩B=B,则A⊆B”的逆否命题.
其中是真命题的是    (填上你认为正确的命题的序号).

查看答案和解析>>

科目: 来源:2012-2013学年黑龙江省大庆市铁人中学高二(上)期中数学试卷(解析版) 题型:解答题

在抛物线y2=4x上求一点P,使得点P到直线y=x+3的距离最短.

查看答案和解析>>

同步练习册答案