相关习题
 0  84572  84580  84586  84590  84596  84598  84602  84608  84610  84616  84622  84626  84628  84632  84638  84640  84646  84650  84652  84656  84658  84662  84664  84666  84667  84668  84670  84671  84672  84674  84676  84680  84682  84686  84688  84692  84698  84700  84706  84710  84712  84716  84722  84728  84730  84736  84740  84742  84748  84752  84758  84766  266669 

科目: 来源:2012-2013学年浙江省绍兴市诸暨中学高二(上)期中数学试卷(理科)(实验班)(解析版) 题型:选择题

已知二面角α-AB-β的平面角是锐角θ,α内一点C到β的距离为3,点C到棱AB的距离为4,那么tgθ的值等于( )
A.
B.
C.
D.

查看答案和解析>>

科目: 来源:2012-2013学年浙江省绍兴市诸暨中学高二(上)期中数学试卷(理科)(实验班)(解析版) 题型:选择题

已知两相交平面α,β,则必存在直线l,使得( )
A.l∥α,l⊥β
B.l⊥α,l⊥β
C.l⊥α,l?β
D.l∥α,l∥β

查看答案和解析>>

科目: 来源:2012-2013学年浙江省绍兴市诸暨中学高二(上)期中数学试卷(理科)(实验班)(解析版) 题型:选择题

已知正数a,b满足ab=1,则“a=b=1”是“a2+b2=2”的( )
A.充分不必要条件
B.必要不充分条件
C.充要条件
D.既不充分也不必要条件

查看答案和解析>>

科目: 来源:2012-2013学年浙江省绍兴市诸暨中学高二(上)期中数学试卷(理科)(实验班)(解析版) 题型:选择题

正四棱锥S-ABCD的侧棱长为,底面边长为,E为SA的中点,则异面直线BE和SC所成的角为( )
A.30°
B.45°
C.60°
D.90°

查看答案和解析>>

科目: 来源:2012-2013学年浙江省绍兴市诸暨中学高二(上)期中数学试卷(理科)(实验班)(解析版) 题型:选择题

f(x)是定义在(0,+∞)上的可导函数,且满足xf′(x)-f(x)>0,对任意的正数a、b,若a>b,则必有( )
A.af(b)<bf(a)
B.bf(a)<af(b)
C.af(a)<bf(b)
D.bf(b)<af(a)

查看答案和解析>>

科目: 来源:2012-2013学年浙江省绍兴市诸暨中学高二(上)期中数学试卷(理科)(实验班)(解析版) 题型:选择题

已知F1,F2分别是双曲线的左右焦点,P为双曲线右支上一点,∠F1PF2=60°,∠F1PF2的角平分线PA交x轴于A,,则双曲线的离心率为( )
A.2
B.
C.
D.3

查看答案和解析>>

科目: 来源:2012-2013学年浙江省绍兴市诸暨中学高二(上)期中数学试卷(理科)(实验班)(解析版) 题型:填空题

函数f(x)=xlnx(x>0)的单调递减区间为   

查看答案和解析>>

科目: 来源:2012-2013学年浙江省绍兴市诸暨中学高二(上)期中数学试卷(理科)(实验班)(解析版) 题型:填空题

已知某个几何体的三视图如图所示,根据图中标出的尺寸(单位:cm),可得这个几何体的体积是   

查看答案和解析>>

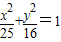
科目: 来源:2012-2013学年浙江省绍兴市诸暨中学高二(上)期中数学试卷(理科)(实验班)(解析版) 题型:填空题

已知椭圆与双曲线在第一象限的交点为P,则点P到椭圆左焦点的距离为   

查看答案和解析>>

科目: 来源:2012-2013学年浙江省绍兴市诸暨中学高二(上)期中数学试卷(理科)(实验班)(解析版) 题型:填空题

如图,在边长为a的正方体ABCD-A1B1C1D1中,E,F,G,H分别是CC1,C1D1,D1D,CD的中点,N是BC的中点,M在四边形EFGH上及其内部运动,若MN∥平面A1BD,则点M轨迹的长度是   

查看答案和解析>>

同步练习册答案