相关习题
 0  84661  84669  84675  84679  84685  84687  84691  84697  84699  84705  84711  84715  84717  84721  84727  84729  84735  84739  84741  84745  84747  84751  84753  84755  84756  84757  84759  84760  84761  84763  84765  84769  84771  84775  84777  84781  84787  84789  84795  84799  84801  84805  84811  84817  84819  84825  84829  84831  84837  84841  84847  84855  266669 

科目: 来源:2012-2013学年四川省绵阳市涪城区南山中学高一(上)期中数学试卷(解析版) 题型:解答题

已知函数f(x)=2x,g(x)=-x2+2x+b(b∈R),记
(Ⅰ)判断h(x)的奇偶性,并证明;
(Ⅱ)对任意x∈[1,2],都存在x1,x2∈[1,2],使得f(x)≤f(x1),g(x)≤g(x2).若f(x1)=g(x2),求实数b的值;
(Ⅲ)若2xh(2x)+mh(x)≥0对于一切x∈[1,2]恒成立,求实数m的取值范围.

查看答案和解析>>

科目: 来源:2011-2012学年江西省赣州市上犹中学高一(上)期中数学试卷(解析版) 题型:选择题

下列几个关系中正确的是( )
A.0∈0
B.0=0
C.0⊆0
D.∅=0

查看答案和解析>>

科目: 来源:2011-2012学年江西省赣州市上犹中学高一(上)期中数学试卷(解析版) 题型:选择题

设集合A={1,2},B={1,2,3},C={2,3,4},则(A∩B)∪C=( )
A.{1,2,3}
B.{1,2,4}
C.{2,3,4}
D.{1,2,3,4}

查看答案和解析>>

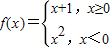
科目: 来源:2011-2012学年江西省赣州市上犹中学高一(上)期中数学试卷(解析版) 题型:选择题

已知函数,则f[f(-2)]的值为( )
A.1
B.2
C.4
D.5

查看答案和解析>>

科目: 来源:2011-2012学年江西省赣州市上犹中学高一(上)期中数学试卷(解析版) 题型:选择题

若函数y=(x+1)(x-a)为偶函数,则a=( )
A.-2
B.-1
C.1
D.2

查看答案和解析>>

科目: 来源:2011-2012学年江西省赣州市上犹中学高一(上)期中数学试卷(解析版) 题型:选择题

当a>1时,在同一坐标系中,函数y=a-x与y=logax的图象( )
A.
B.
C.
D.

查看答案和解析>>

科目: 来源:2011-2012学年江西省赣州市上犹中学高一(上)期中数学试卷(解析版) 题型:选择题

如果函数f(x)=x2+2(a-1)x+2在(-∞,4]上是减函数,那么实数a取值范围是( )
A.a≤-3
B.a≥-3
C.a≤5
D.a≥5

查看答案和解析>>

科目: 来源:2011-2012学年江西省赣州市上犹中学高一(上)期中数学试卷(解析版) 题型:选择题

,则有( )
A.a<b<c
B.c<b<a
C.c<a<b
D.a<c<b

查看答案和解析>>

科目: 来源:2011-2012学年江西省赣州市上犹中学高一(上)期中数学试卷(解析版) 题型:选择题

已知f(x)=x5+ax3+bx-8,且f(-2)=10,那么f(2)等于( )
A.-26
B.-18
C.-10
D.10

查看答案和解析>>

科目: 来源:2011-2012学年江西省赣州市上犹中学高一(上)期中数学试卷(解析版) 题型:选择题

已知f(x)=3x,x1,x2∈R,则有( )
A.
B.
C.
D.以上都不是

查看答案和解析>>

同步练习册答案