相关习题
 0  84669  84677  84683  84687  84693  84695  84699  84705  84707  84713  84719  84723  84725  84729  84735  84737  84743  84747  84749  84753  84755  84759  84761  84763  84764  84765  84767  84768  84769  84771  84773  84777  84779  84783  84785  84789  84795  84797  84803  84807  84809  84813  84819  84825  84827  84833  84837  84839  84845  84849  84855  84863  266669 

科目: 来源:2012-2013学年海南省澄迈中学高二(上)期中数学试卷(理科)(解析版) 题型:选择题

设平面α内两个向量的坐标分别为(1,2,1)、(-1,1,2),则下列向量中是平面的法向量的是( )
A.(-1,-2,5)
B.(-1,1,-1)
C.(1,1,1)
D.(1,-1,-1)

查看答案和解析>>

科目: 来源:2012-2013学年海南省澄迈中学高二(上)期中数学试卷(理科)(解析版) 题型:选择题

两圆C1:x2+y2+4x-4y+7=0,C2:x2+y2-4x-10y+13=0的公切线有( )
A.2条
B.3条
C.4条
D.0条

查看答案和解析>>

科目: 来源:2012-2013学年海南省澄迈中学高二(上)期中数学试卷(理科)(解析版) 题型:选择题

设p是椭圆上的点.若F1,F2是椭圆的两个焦点,则|PF1|+|PF2|等于( )
A.4
B.5
C.8
D.10

查看答案和解析>>

科目: 来源:2012-2013学年海南省澄迈中学高二(上)期中数学试卷(理科)(解析版) 题型:选择题

设一动点P到直线x=3的距离与它到点A(1,0)的距离之比为,则动点P的轨迹方程是( )
A.
B.
C.
D.

查看答案和解析>>

科目: 来源:2012-2013学年海南省澄迈中学高二(上)期中数学试卷(理科)(解析版) 题型:选择题

若直线y=2x-1与直线y=2x+b之间的距离等于,则b等于( )
A.4
B.-5或5
C.-6
D.4或-6

查看答案和解析>>

科目: 来源:2012-2013学年海南省澄迈中学高二(上)期中数学试卷(理科)(解析版) 题型:选择题

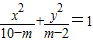
已知椭圆,长轴在y轴上,若焦距为4,则m等于( )
A.4
B.5
C.7
D.8

查看答案和解析>>

科目: 来源:2012-2013学年海南省澄迈中学高二(上)期中数学试卷(理科)(解析版) 题型:选择题

在正方体ABCD-A1B1C1D1中,O为AC,BD的交点,则C1O与A1D所成角余弦( )
A.
B.0
C.
D.

查看答案和解析>>

科目: 来源:2012-2013学年海南省澄迈中学高二(上)期中数学试卷(理科)(解析版) 题型:选择题

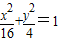
椭圆上的点到直线的最大距离是( )
A.3
B.
C.
D.

查看答案和解析>>

科目: 来源:2012-2013学年海南省澄迈中学高二(上)期中数学试卷(理科)(解析版) 题型:填空题

已知A(a,2),B(3,7),C(-2,-9a)三点在同一直线上,则a的值为   

查看答案和解析>>

科目: 来源:2012-2013学年海南省澄迈中学高二(上)期中数学试卷(理科)(解析版) 题型:填空题

如图长方体中,AB=AD=2,CC1=,则二面角C1-BD-C的大小为   

查看答案和解析>>

同步练习册答案