相关习题
 0  84731  84739  84745  84749  84755  84757  84761  84767  84769  84775  84781  84785  84787  84791  84797  84799  84805  84809  84811  84815  84817  84821  84823  84825  84826  84827  84829  84830  84831  84833  84835  84839  84841  84845  84847  84851  84857  84859  84865  84869  84871  84875  84881  84887  84889  84895  84899  84901  84907  84911  84917  84925  266669 

科目: 来源:2012-2013学年湖北省荆州市江陵县滩桥高中高一(上)期中数学试卷(解析版) 题型:选择题

若a>0,a≠1,且m>0,n>0,则下列各式中正确的是( )
A.logam•logan=loga(m+n)
B.am•an=amn
C.
D.

查看答案和解析>>

科目: 来源:2012-2013学年湖北省荆州市江陵县滩桥高中高一(上)期中数学试卷(解析版) 题型:选择题

下列函数中,在其定义域内既是奇函数又是减函数的是( )
A.
B.y=-3
C.y=
D.y=x3

查看答案和解析>>

科目: 来源:2012-2013学年湖北省荆州市江陵县滩桥高中高一(上)期中数学试卷(解析版) 题型:选择题

函数f(x)=[x]的函数值表示不超过x的最大整数,例如,[-3.5]=-4,[2.1]=2,当x∈(3,4.5]时,f(x)=[x]的解集为( )
A.{3,4}
B.{4}
C.{3}
D.(3,4.5]

查看答案和解析>>

科目: 来源:2012-2013学年湖北省荆州市江陵县滩桥高中高一(上)期中数学试卷(解析版) 题型:选择题

已知函数f(x)是R上的偶函数,当x≥0时f(x)=x-1,则f(x)<0的解集是( )
A.(-1,0)
B.(0,1)
C.(-1,1)
D.(-∞,-1)∪(1,+∞)

查看答案和解析>>

科目: 来源:2012-2013学年湖北省荆州市江陵县滩桥高中高一(上)期中数学试卷(解析版) 题型:选择题

已知定义域为R的函数f(x)在区间(-∞,5)上单调递减,对任意实数t,都有f(5+t)=f(5-t),那么下列式子一定成立的是( )
A.f(-1)<f(9)<f(13)
B.f(13)<f(9)<f(-1)
C.f(9)<f(-1)<f(13)
D.f(13)<f(-1)<f(9)

查看答案和解析>>

科目: 来源:2012-2013学年湖北省荆州市江陵县滩桥高中高一(上)期中数学试卷(解析版) 题型:填空题

log64+log69-8=   

查看答案和解析>>

科目: 来源:2012-2013学年湖北省荆州市江陵县滩桥高中高一(上)期中数学试卷(解析版) 题型:填空题

若函数y=f(x)的定义域为[-2,4],则函数g(x)=f(x)+f(-x)的定义域是   

查看答案和解析>>

科目: 来源:2012-2013学年湖北省荆州市江陵县滩桥高中高一(上)期中数学试卷(解析版) 题型:填空题

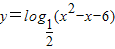
函数的单调递增区间是   

查看答案和解析>>

科目: 来源:2012-2013学年湖北省荆州市江陵县滩桥高中高一(上)期中数学试卷(解析版) 题型:填空题

函数的值域是   

查看答案和解析>>

科目: 来源:2012-2013学年湖北省荆州市江陵县滩桥高中高一(上)期中数学试卷(解析版) 题型:填空题

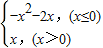
已知函数f(x)=,若函数g(x)=f(x)-m有3个零点,则实数m的取值范围是   

查看答案和解析>>

同步练习册答案