相关习题
 0  84750  84758  84764  84768  84774  84776  84780  84786  84788  84794  84800  84804  84806  84810  84816  84818  84824  84828  84830  84834  84836  84840  84842  84844  84845  84846  84848  84849  84850  84852  84854  84858  84860  84864  84866  84870  84876  84878  84884  84888  84890  84894  84900  84906  84908  84914  84918  84920  84926  84930  84936  84944  266669 

科目: 来源:2012-2013学年黑龙江省哈尔滨32中高二(上)期中数学试卷(解析版) 题型:选择题

若椭圆的两焦点为(-2,0)和(2,0),且椭圆过点,则椭圆方程是( )
A.
B.
C.
D.

查看答案和解析>>

科目: 来源:2012-2013学年黑龙江省哈尔滨32中高二(上)期中数学试卷(解析版) 题型:选择题

椭圆x2+4y2=1的离心率为( )
A.
B.
C.
D.

查看答案和解析>>

科目: 来源:2012-2013学年黑龙江省哈尔滨32中高二(上)期中数学试卷(解析版) 题型:选择题

与椭圆9x2+4y2=36有相同焦点,且短轴长为4的椭圆方程是( )
A.
B.
C.
D.

查看答案和解析>>

科目: 来源:2012-2013学年黑龙江省哈尔滨32中高二(上)期中数学试卷(解析版) 题型:选择题

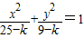
曲线与曲线(k<9)的( )
A.焦距相等
B.长、短轴相等
C.离心率相等
D.准线相同

查看答案和解析>>

科目: 来源:2012-2013学年黑龙江省哈尔滨32中高二(上)期中数学试卷(解析版) 题型:选择题

方程表示焦点在y轴上的椭圆,则k的取值范围是( )
A.-16<k<25
B.
C.
D.

查看答案和解析>>

科目: 来源:2012-2013学年黑龙江省哈尔滨32中高二(上)期中数学试卷(解析版) 题型:填空题

如果命题“p或q”和“非p”都是真命题,则命题q的真假是   

查看答案和解析>>

科目: 来源:2012-2013学年黑龙江省哈尔滨32中高二(上)期中数学试卷(解析版) 题型:填空题

如果命题“p且q”和“非p”都是假命题,则命题q的真假是   

查看答案和解析>>

科目: 来源:2012-2013学年黑龙江省哈尔滨32中高二(上)期中数学试卷(解析版) 题型:填空题

阅读程序框图,若输入a=1,b=1,则输出的结果是   

查看答案和解析>>

科目: 来源:2012-2013学年黑龙江省哈尔滨32中高二(上)期中数学试卷(解析版) 题型:填空题

如图,在一个边长为3cm的正方形内部画一个边长为2cm的正方形,向大正方形内随机投点,则所投的点落入小正方形内的概率是   

查看答案和解析>>

科目: 来源:2012-2013学年黑龙江省哈尔滨32中高二(上)期中数学试卷(解析版) 题型:解答题

写出下列命题的否定,并判断其真假:
(1)p:?x∈R,方程x2+x-m=0必有实根;
(2)q:?x∈R,使得x2+x+1≤0.

查看答案和解析>>

同步练习册答案