相关习题
 0  84814  84822  84828  84832  84838  84840  84844  84850  84852  84858  84864  84868  84870  84874  84880  84882  84888  84892  84894  84898  84900  84904  84906  84908  84909  84910  84912  84913  84914  84916  84918  84922  84924  84928  84930  84934  84940  84942  84948  84952  84954  84958  84964  84970  84972  84978  84982  84984  84990  84994  85000  85008  266669 

科目: 来源:2011-2012学年广东省平远中学高二(下)期末数学复习试卷(理科)(解析版) 题型:选择题

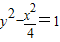
设平面区域D是由双曲线的两条渐近线和抛物线y2=-8x的准线所围成的三角形(含边界与内部).若点(x,y)∈D,则目标函数z=x+y的最大值为( )
A.-1
B.0
C.1
D.3

查看答案和解析>>

科目: 来源:2011-2012学年广东省平远中学高二(下)期末数学复习试卷(理科)(解析版) 题型:选择题

设△ABC的内角A,B,C所对的边a,b,c成等比数列,则的范围是( )
A.(0,+∞)
B.
C.
D.

查看答案和解析>>

科目: 来源:2011-2012学年广东省平远中学高二(下)期末数学复习试卷(理科)(解析版) 题型:填空题

规定符号“※”表示一种运算,即a※b=ab+a+b2(a,b∈R+),若1※k=3,则k=   

查看答案和解析>>

科目: 来源:2011-2012学年广东省平远中学高二(下)期末数学复习试卷(理科)(解析版) 题型:填空题

若回归直线的斜率的估计值是1.23,样本点的中心为(4,5),则回归直线的方程是   

查看答案和解析>>

科目: 来源:2011-2012学年广东省平远中学高二(下)期末数学复习试卷(理科)(解析版) 题型:填空题

(1+x)+(1+x)2+(1+x)3+…+(1+x)15的展开式中含x3项的系数是    .(用数字作答)

查看答案和解析>>

科目: 来源:2011-2012学年广东省平远中学高二(下)期末数学复习试卷(理科)(解析版) 题型:填空题

圆心在y轴上,且与直线y=x相切于点(1,1)的圆的方程为   

查看答案和解析>>

科目: 来源:2011-2012学年广东省平远中学高二(下)期末数学复习试卷(理科)(解析版) 题型:填空题

设A={x|x2-100x-1100≤0},B={x|lgx>1,x∈N*},则A∩B的子集共有    个.

查看答案和解析>>

科目: 来源:2011-2012学年广东省平远中学高二(下)期末数学复习试卷(理科)(解析版) 题型:填空题

(坐标系与参数方程选做题)过点且平行于极轴的直线的极坐标方程为   

查看答案和解析>>

科目: 来源:2011-2012学年广东省平远中学高二(下)期末数学复习试卷(理科)(解析版) 题型:填空题

(几何证明选讲选做题)已知PA是⊙O的切线,切点为A,直线PO交⊙O于B、C两点,AC=2,∠PAB=120°,则⊙O的面积为   

查看答案和解析>>

科目: 来源:2011-2012学年广东省平远中学高二(下)期末数学复习试卷(理科)(解析版) 题型:解答题

已知向量=(sin,cos),=(coscos),函数f(x)=
(1)求函数f(x)的单调递增区间;
(2)如果△ABC的三边a、b、c,满足b2=ac,且边b所对的角为x,试求x的范围及此时函数f(x)的值域.

查看答案和解析>>

同步练习册答案