相关习题
 0  84869  84877  84883  84887  84893  84895  84899  84905  84907  84913  84919  84923  84925  84929  84935  84937  84943  84947  84949  84953  84955  84959  84961  84963  84964  84965  84967  84968  84969  84971  84973  84977  84979  84983  84985  84989  84995  84997  85003  85007  85009  85013  85019  85025  85027  85033  85037  85039  85045  85049  85055  85063  266669 

科目: 来源:2012-2013学年辽宁省朝阳市朝阳县柳城高级中学高一(上)期中数学试卷(解析版) 题型:解答题

函数f(x)=-x2+2ax+1-a在区间[0,1]上有最大值2,求实数a的值.

查看答案和解析>>

科目: 来源:2012-2013学年辽宁省朝阳市朝阳县柳城高级中学高一(上)期中数学试卷(解析版) 题型:解答题

已知函数f(x)=是定义在(-1,1)上的奇函数,且f()=
(1)确定函数f(x)的解析式
(2)解不等式f(x-1)﹢f(x)<0.

查看答案和解析>>

科目: 来源:2012-2013学年辽宁省朝阳市朝阳县柳城高级中学高一(上)期中数学试卷(解析版) 题型:解答题

函数f(x)=ax2+bx(a,b是常数且a≠0)满足条件:f(2)=0,方程f(x)=x 有等根
(1)求f(x)的解析式;
(2)问:是否存在实数m,n使得f(x)定义域和值域分别为[m,n]和[2m,2n],如存在,求出m,n的值;如不存在,说明理由.

查看答案和解析>>

科目: 来源:2012-2013学年辽宁省朝阳市朝阳县柳城高级中学高一(上)期中数学试卷(解析版) 题型:解答题

某厂生产某种零件,每个零件的成本为40元,出厂单价定为60元,该厂为鼓励销售商订购,决定当一次订购量超过100个时,每多订购一个,订购的全部零件的出厂单价就降低0、02元,但实际出厂单价不能低于51元.
(1)当一次订购量为多少个时,零件的实际出厂单价恰降为51元?
(2)设一次订购量为x个,零件的实际出厂单价为P元,写出函数P=f(x)的表达式;
(3)当销售商一次订购500个零件时,该厂获得的利润是多少元?如果订购1000个,利润又是多少元?(工厂售出一个零件的利润=实际出厂单价-成本)

查看答案和解析>>

科目: 来源:2012-2013学年湖南省郴州一中高二(上)期中数学试卷(理科)(解析版) 题型:选择题

已知a=4,b=2,且焦点在x轴上的椭圆标准方程为( )
A.
B.
C.
D.

查看答案和解析>>

科目: 来源:2012-2013学年湖南省郴州一中高二(上)期中数学试卷(理科)(解析版) 题型:选择题

某林场有树苗30000棵,其中松树苗4000棵.为调查树苗的生长情况,采用分层抽样的方法抽取一个容量为150的样本,则样本中松树苗的数量为( )
A.30
B.25
C.20
D.15

查看答案和解析>>

科目: 来源:2012-2013学年湖南省郴州一中高二(上)期中数学试卷(理科)(解析版) 题型:选择题

命题“?x∈R,x2-2x+2≤0”的否定为( )
A.?x∈R,x2-2x+2>0
B.?x∈R,x2-2x+2≥0
C.?x∈R,x2-2x+2≤0
D.?x∈R,x2-2x+2≥0

查看答案和解析>>

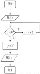
科目: 来源:2012-2013学年湖南省郴州一中高二(上)期中数学试卷(理科)(解析版) 题型:选择题

如图所示的算法流程图中,若输入的x值为-1,则输出的y值是( )

A.
B.
C.8
D.2

查看答案和解析>>

科目: 来源:2012-2013学年湖南省郴州一中高二(上)期中数学试卷(理科)(解析版) 题型:选择题

“x>4”是“x2-4x>0”的( )
A.充分不必要条件
B.必要不充分条件
C.充分必要条件
D.既不充分也不必要条件

查看答案和解析>>

科目: 来源:2012-2013学年湖南省郴州一中高二(上)期中数学试卷(理科)(解析版) 题型:选择题

已知向量=( )
A.14
B.
C.11
D.

查看答案和解析>>

同步练习册答案